Anonymous Coward Bullies Children On Halloween

The jerk whispererI woke up to over 500 readers who let me know about a woman in North Dakota who has taken it upon herself to visually identify children as “moderately obese” and, instead of the candy she is giving to other children, giving them letters to their parents stating, in part,

Your child is, in my opinion, moderately obese and should not be consuming sugar and treats to the extent of some children this Halloween season.

My hope is that you will step up as a parent and ration candy this Halloween and not allow your child to continue these unhealthy eating habits.

So first it can’t be said early or often enough that tactics like this don’t make kids thinner or healthier (two separate things).  Let’s remember that we don’t know how to make fat kids thin, and the untested “interventions” that have been launched  actually are now being shown to lead to eating disorders but not to thinner, or healthier, kids. 

One wonders how she can determine body weight with all that costume attached (and, it’s freaking cold in North Dakota so many of the children will wear costumes over many layers of clothing, including (at least when I was a kid living in Montana) snow pants and parkas.

My heart is ripping open and crying for the kids who will have their Halloween ruined by this – especially since I’m concerned that other adult bullies will choose to follow in her footsteps.

One wonders why she used the term “moderately obese” and what that means to her.  Do kids who are, in her completely unqualified opinion, severely obese get candy?  Or does she just shoot them to put them out of her misery?

If she wants to talk to parents, why doesn’t she actually do that?  Follow the fat ones home to give the letter to their parents, chase after the school bus and at least try to be a respectable busybody, judgmental, bully.

Since she – as an amateur doctor, nutritionist, child psychologist, parenting expert and psychic with the ability to diagnose health issues, and know kids eating behaviors by looking at them in a costume for 10 seconds at her doorstep – is such an expert on health, why not dole out snacks that she thinks are healthy for all kids? Isn’t she afraid that the candy that she hands out to kids who she does not deem “moderately obese” might *gasp* make them fat and thus deserving of her fat bullying letter next year.

For those (like one cardiologist interviewed about this  [trigger warning for unsubstantiated obesity panic, and incompetent doctor being quoted]) who say that giving a fat kid candy is like giving heroin to a heroin addict – what the hell is wrong with you?  A fat body size does not constitute an addiction at all, nor a specific candy addiction, and If you think that candy and heroin are comparable then you probably shouldn’t be allowed to be a doctor anymore.  This line of argument is completely ridiculous.

Also, why be anonymous?  If you are proud of your actions, then stand behind them with your name.  She’ll know that I stand behind what I’ve said here because I put my name on it, despite hate mail and death threats.  She’s so interested in children experiencing what she believes are the consequences of their actions, she should experience the consequences of hers.

Fat kids aren’t in need of  “tough love” and even if they were, this isn’t it.  When we make assumptions about people because of the way that they look, that’s not “love” it’s bigotry.  When we treat one group worse than another because of the way that they look, that’s not “love” (tough or otherwise), it’s bullying.  Fat kids don’t need bigotry and bullying from strangers making guesses about their health and eating habits on any day, let alone a holiday they’ve probably been excited about for months.

If you are a fat kid reading this, I’m truly sorry that there bullying jerks in the world.  I wrote you a letter here if you are interested.

EDIT:  There are several people saying that this is a hoax.  If so, it’s a good hoax that’s been reported in most major media outlets.  That said, if it is a hoax I’m happy, but still concerned that others will read about it and think that it’s a good idea  – so even if it’s a hoax, I’ll let this post stand as a message to any of those folks.

Like my blog?  Here’s more of my stuff!

Become a member: For just ten bucks a month you can keep this blog ad-free, support the activism work I do, and get deals from cool businesses Click here for details

Interviews with Amazing Activists!!  Help Activists tell our movement’s history in their own words.  Support In Our Own Words:  A Fat Activist History Project!

The Book:  Fat:  The Owner’s Manual  The E-Book is Name Your Own Price! Click here for details

Dance Classes:  Buy the Dance Class DVDs or download individual classes – Every Body Dance Now! Click here for details 

If my selling things on the blog makes you uncomfortable, you might want to check out this post.  Thanks for reading! ~Ragen

Our Bodies Our Selves

Wrong RoadOne of the many issues with the idea of the “War on Obesity” or “Preventing Obesity” or talking about “the Obese” is that it defines people entirely by their body size.  The government is waging war against a body size.  Society talks about people with the same body size as if they can be defined and understood completely by the mathematical equation that defines us as “obese” – a definition that has been changed by the very people who profit from it.

Billions of dollars are being spent fighting a war against bodies whose weight in pounds times 703 divided by their height in inches squared is greater than 30, based on the incredibly shoddy research that suggests that the things would be cheaper if there are no more bodies that meet that height/weight ratio.

This idea of “The Obese”  ignores the fact that the only thing obese people have in common is our height and weight ratio. Fat people are as varied in behavior as any group of people who share only a single physical characteristic (and the shame and stigma that currently comes along with it.)  Not to mention that this group includes people who are very muscular, as well as skewing with height.  Kate Harding’s BMI Project gives us a visual representation of how arbitrary these categories are.  The arbitrary categories of “overweight” and “obese” are separated by a few pounds, but we are supposed to believe that those four pounds create a major different in disease outcome and life expectancy regardless of behaviors, genetics, or body composition?

The CDC table says that in adults a BMI of “30 and over” is considered obese.  So, based on health risks that are attributed to “the obese” at my height I would be at the same risk if I weighed 174 pounds, or if I weighed 1,074 pounds.  Even the charts that include “classes” of obesity have a category of “x weight and up” (which is my current category – “Class 3 – Super Obese” which, it turns out, does not come with a cape and a secret identity as it sounds like it should,)  which means that if I believe this whole BMI/body size = health thing, I have same risk at my current weight of around 300 pounds, or if I doubled or even tripled my weight.

When the US Surgeon General announced that “Obesity is the terror within. It is eroding our society. It will bring a disease burden we can’t afford,”  he starting a campaign encouraging people (friends, family, bosses, doctors, and employers of fat people) to fear, blame, and stigmatize a group of citizens based on nothing more than how we look. To reduce fat people to our bodies, suggest that those bodies are failings (though I vehemently disagree with this), and that being fat is such a massive failing that it should overshadow anything else that we do or are – it doesn’t matter what we accomplish or who we are, you can tell by looking at us that we are domestic terrorists eroding society.

Bullshit.

When medicine substitutes body size for health, they are being lazy and cheap – trying to use an easy and inexpensive method to determine health instead of  the complicated work of treating the actual patient in front of them.  We can treat each individual as such, use basic testing to get information, listen to them when they talk about their bodies and what they are experiencing, and only discuss weight when it becomes medically necessary (for example, large unexplained weight fluctuations.)

Rather than assuming that fat people’s health issues are all caused by their fatness but the exact same health issues in thin people are caused by something else, rather than studying body size and making guesses about what would happen if we could eliminate certain body sizes (which we have no idea how to do),  we could study health issues, and interventions that can help people of all sizes.

Rather than pouring money into a War against the result of a mathematical calculation, rather than wasting billions of dollars in anti body size campaigns that have absolutely no evidence to suggest that they will succeed at changing body size or health long term, research and medical science could stop being so ridiculously lazy and start actually looking at health.

This society tells people that, if someone is fat, our bodies define us – that they knows everything they need to know about us with just a cursory glance, and that the news is not good.  This is why size acceptance activism is necessary – because people and societal institutions define, stigmatize, bully and oppress us based on our size – all sanctioned, even encouraged, by the government – based on stereotypes, assumptions and bigotry.  Our bodies are amazing, but they are not all that there is to us, and my activism is working toward a world where, though I will always be willing and happy to advocate for my fat body, there will be no need to do so.

Like my blog?  Here’s more of my stuff!

Become a member: For just ten bucks a month you can keep this blog ad-free, support the activism work I do, and get deals from cool businesses Click here for details

Interviews with Amazing Activists!!  Help Activists tell our movement’s history in their own words.  Support In Our Own Words:  A Fat Activist History Project!

The Book:  Fat:  The Owner’s Manual  The E-Book is Name Your Own Price! Click here for details

Dance Classes:  Buy the Dance Class DVDs or download individual classes – Every Body Dance Now! Click here for details 

If my selling things on the blog makes you uncomfortable, you might want to check out this post.  Thanks for reading! ~Ragen

Taking Up Too Much Space

IMG_9103 - CopyOne thing that fat people often tell me makes them uncomfortable is the idea that they take up too much space.  Here’s what I think about that.  I think that our bodies take up just the right amount of space, whatever size they are.  If they get bigger or smaller they still take up just the right amount of space.  Because they are our BODIES.

It is ridiculous for people to think that they, and anyone smaller than them, take up “the right” amount of space, but those bigger than them take up too much. Spare me.

Nobody takes up too much space just by virtue of existing.  Tall people don’t take up too much space.  People in wheelchairs don’t take up too much space.  Fat people don’t take up too much space.  If you are on a crowded train and you sit with your legs completely splayed out sprawling across as much space as you can, then an argument can be made that you are taking up too much space, but it is impossible that your body takes up too much space just being your body

There are things in the world that are made to fit only people of a certain size but that doesn’t make all other bodies wrong.  It means that when they manufactured those things, they either pretended that bodies outside of those sizes don’t exist, or they simply made the decision not to accommodate people of all sizes.  When I encounter these situations I can choose activism, or not.  If I go into a restaurant and I’m not comfortable in their booths or the arms on their chairs pinch I have a few options.  I can say nothing and suffer through, or I can leave immediately.  I can let the management know about the problem and give them a chance to accommodate me, or I can just decide that if they wanted my business they would have made different choices and so leave and never come back.

Regardless of what I choose the problem resides with the booths and the chairs and not with my body.  I take up exactly the right amount of space and I believe that you do too.

Like my blog?  Here’s more of my stuff!

Become a member: For just ten bucks a month you can keep this blog ad-free, support the activism work I do, and get deals from cool businesses Click here for details

Interviews with Amazing Activists!!  Help Activists tell our movement’s history in their own words.  Support In Our Own Words:  A Fat Activist History Project!

The Book:  Fat:  The Owner’s Manual  The E-Book is Name Your Own Price! Click here for details

Dance Classes:  Buy the Dance Class DVDs or download individual classes – Every Body Dance Now! Click here for details 

If my selling things on the blog makes you uncomfortable, you might want to check out this post.  Thanks for reading! ~Ragen

Suffering from Obesity

Belly Bump with one of my heroes - Marilyn Wann
Belly Bump with one of my heroes – Marilyn Wann

I decided to repost this blog based on a few conversations I had and saw in the last few days.  I see people talk a lot about how we need to “do something,” and how abusive and exploitative things like The Biggest Loser are justified  because so many people are “suffering from obesity”.  I won’t presume to speak for everyone but I will say that while I sometimes do suffer because I’m obese, I’ve never suffered from obesity.

I’m suffering from living in a society where I’m shamed, stigmatized and humiliated because of the way I look. Where I’m oppressed by people who choose to believe that I could be thin if I tried (even though there’s no evidence for that), and that I am, in fact, obligated to try to be thin because that’s what they want me to do – as if personal responsibility means that I’m personally responsible for doing what they think I should do and looking like they think I should look (though this does not seem to be a two way street as none of these people has ever invited by commentary and suggestions on their life and choices.)

I’m suffering from doctors who have bought into a weight=health paradigm so deeply that they are incapable of giving me appropriate evidence-based healthcare.  I’m not just talking about diagnosing me as fat and giving me a treatment plan of weight loss (which is using a completely unreliable diagnostic and then prescribing a treatment that has the opposite result 95% of the time).  I’m also talking about the two doctors who tried to prescribe me blood pressure medication without taking my blood pressure or looking at my chart to see that it is always 117/70 (which means that taking blood pressure medication would have been dangerous).  I’m talking about a doctor trying to get me to lose weight to treat me for Type 2 Diabetes when I actually had anemia.  I’m talking about a doctor telling me that my strep throat was due to my weight. I’m talking about people who are supposed to be scientists abandoning science and research in a way that strongly resembles the time when the Catholic church told Galileo to sit down and shut up.

I’m suffering from a societal witch hunt where instead of putting me in a river they put me on a scale.  People look at my body and feel comfortable blaming me for everything from global warming to healthcare costs despite a lack of evidence for either. People send me ridiculous hate mail, say nasty things to me at the gym (although making fun of a fat person at the gym is something I will never understand).  People who are drenched in thin privilege try to use that position of privilege to make me feel bad about myself.

I’m suffering from the misinformation campaign that is led by the diet industry, weight loss pharmaceutical industry and surgeons who profit from mutilating people who look like me, none of whom are willing to be honest about the risks or horrible success rates of their interventions long term, and some of whom just don’t seem to care.

I am suffering from living in a society that tells me that the cure for social stigma, shame, humiliation and incompetent healthcare is for me to lose weight, when the truth is that the cure for social stigma is ending social stigma.

What has lessened my suffering is that I now realize that this isn’t my fault – although it becomes my problem. One of the reasons that I choose to pursue a life of social justice work is that nothing makes me feel better than knowing that I am doing what I can to fight this and making some kind of difference – whether it’s in the lives of individuals or in society, or just in my own life.  I deserve better and so does everyone else and I and lots of others are fighting for it and we’re going to win.  But to be clear, we shouldn’t have to.  Nobody should have to fight to be treated with basic human respect.   And that’s what I find so sad – all of this suffering of fat people could end right this second and nobody needs to lose a pound – society just needs to stop trying to shame, stigmatize, humiliate and hate people healthy.  We can work on access to healthy foods, we can work on access to safe movement options that people enjoy, we can work on making sure that people have access to appropriate, evidence-based healthcare.  If we give up being a horribly failed example for making people thin, we could be a successful example for giving people options for health.

Like my blog?  Here’s more of my stuff!

The Book:  Fat: The Owner’s Manual  The E-Book is Name Your Own Price! Click here for details

Become a member: For just ten bucks a month you can keep this blog ad-free, support the activism work I do, and get deals from cool businesses Click here for details

Interviews with Amazing Activists!!  Help Activists tell our movement’s history in their own words.  Support In Our Own Words:  A Fat Activist History Project!

Dance Classes:  Buy the Dance Class DVDs or download individual classes – Every Body Dance Now! Click here for details 

If my selling things on the blog makes you uncomfortable, you might want to check out this post.  Thanks for reading! ~Ragen

Tom Hanks’ Doctor Might Be Totally Incompetent

Bad DoctorTom Hanks recently announced to the world that he has been diagnosed with Type 2 Diabetes (T2D).  Let’s get the first thing straight – he, like Paula Deen before him, was under NO OBLIGATION to do so.  Celebrities do not owe us every detail of their lives.  Tom Hanks is an actor, his job is to portray a character, not to disclose all of his health issues to the general public.  Can you imagine if your plumber told you that she’d been diagnosed with T2D four years prior and you were completely angry and indignant that she didn’t tell you sooner?  So, though he was under no obligation to do so, Tom Hanks went public as is his choice.

In an interview with David Letterman he said “My doctor said, ‘If you can weigh what you weighed in high school, you’ll essentially be healthy and not have Type 2 diabetes.”  If this is true, if Mr. Hanks did not misunderstand or misspeak, then his doctor is dangerously misinformed.  His weight may have nothing to do with it. Some have suggested that it may be related to the major weight fluctuations he underwent for films like Philadelphia and Castaway.

Before we go too far into this, let’s talk about another issue:  The best thing, the only thing that I believe is ethical, that we can do once someone has been diagnosed with a health issue is provide shame-free, future-oriented care.  Though disease prevention is a reasonable thing to work on in general, it’s not reasonable to talk about it to someone who has a diagnosis already.  At that point what matters is providing options to the patient moving forward that are evidence based, creating a treatment plan (or not) based on informed consent, and never ever blaming or shaming the person for their illness. Nothing good comes from blaming or shaming people about their health issues.

Prescribing weight loss as a T2D intervention is highly problematic.  Choosing a random weight (just as a hypothetical example – what one weighed in high school) is ludicrous.  Tom Hanks did a good job of pointing that out when he said that his response to his doctor was  “Well, I’m gonna have Type 2 diabetes because there is no way I can weigh as much as I did in high school,” which was 96 pounds.

There are many reasons that weight loss as a prescription for T2D is problematic, not the least of which is that weight loss doesn’t work long term. so even if weight loss would cure T2D we would first need to know how to make weight loss successful.  The second issue is that some methods of weight loss will actually cause blood sugar to become higher or to swing dangerously high and low.  When weight loss is credited with improving T2D, typically it is an observation over a short period of time that inexplicably ignores the fact that behavior changes preceded the weight loss and the metabolic change, and so the weight loss and the change in metabolic markers are likely both caused by the behavior changes (thus the weight loss wasn’t the cause of the health improvement, but a side effect of the behaviors that led to the improvement.)  This is significant because it’s likely that the weight loss will be short term and the weight will be regained, but the behavior changes can often continue to help the T2D.

I’m not going to get into treating T2D in this post other than to say that there are many options, that people of all weights get T2D, that there are definitely interventions that don’t involve weight loss, and that the best things I think we could do from a public health perspective is to eliminate shame and blame around it, stop prescribing weight loss as an intervention, and focus on creating behavior-based treatments plans based on patient goals and desires (including medication and “alternative therapies.”

Tom Hanks gets to do whatever he thinks is best to deal with his diagnosis, but let’s remember that he is an actor and his doctor is clearly just practicing medicine.

Like my blog?  Here’s more of my stuff!

The Book:  Fat: The Owner’s Manual  The E-Book is Name Your Own Price! Click here for details

Become a member: For just ten bucks a month you can keep this blog ad-free, support the activism work I do, and get deals from cool businesses Click here for details

Interviews with Amazing Activists!!  Help Activists tell our movement’s history in their own words.  Support In Our Own Words:  A Fat Activist History Project!

Dance Classes:  Buy the Dance Class DVDs or download individual classes – Every Body Dance Now! Click here for details 

If my selling things on the blog makes you uncomfortable, you might want to check out this post.  Thanks for reading! ~Ragen

Even if Weight Loss Would Solve it All

BullshitWeight loss is touted as a miracle cure.  We’re promised that it will make us healthier, happier, more attractive  – that the life of our dreams is just a diet away. We are told that being fat is the cause for everything bad in our lives – single and want to be in a relationship?  It’s because you’re fat.  Have mobility problems?  It’s because you’re fat.  Have diabetes?  It’s because you’re fat.  Hit by a truck?  It’s because you’re fat.  Abducted by aliens?  It’s because you’re fat.

For today let’s put aside the fact that there are people of all sizes dealing with health challenges, unwanted singleness, diabetes, auto accidents and alien abduction.  Let’s set aside that there isn’t a single study of people who have lost weight long term showing that they were healthier for it.  Let’s not even get into a discussion about alien abduction (it’s beyond the scope of this blog).

Even if becoming thin would solve every single problem in every single fat person’s life, the truth is it doesn’t matter.  Because we don’t know how to get it done. The belief that we know how to help people lose weight and that weight loss leads to greater health is the Galileo issue of our time -widely believed, fervently defended, and unsupported by the evidence.

Let’s talk about what would define successful weight loss.  If we are going to buy into the idea of “healthy weight,” “overweight and “obese” categories (and this may be the only time on this blog that I suggest doing that) then successful weight loss would have to move someone at least one category lower than they are to make them more healthy, and preferably into the “healthy weight” category, otherwise their risk – based on this system of categories- doesn’t really change.

We are nowhere even close to knowing how to do that.  In studies of long term weight loss the vast majority of participants regain all of their weight long term, and many regain more than they lost.  Many never lose enough weight to change categories.

The Nutrition Journal published a review of studies used to prove that dieting works called “Validity of claims made in weight management research: a narrative review of dietetic articles”.  Here are some of the findings:

  • [studies included] claims of non-specific ‘health benefits’ which are not substantiated
  • It appears that beliefs about weight and health acquire a truth status so that they circulate as intuitively appealing ‘facts’, immune from scrutiny and become used, and accepted by editors, without supporting references
  • Dietetic literature on weight management fails to meet the standards of evidence based medicine.
  • Research in the field is characterized by speculative claims that fail to accurately represent the available data.

This information is even more fleshed out in the same journal in the piece “Weight Science:  Evaluating the Evidence for a Paradigm Shift.”

When I first started reading weight loss literature, it was amazing to me how many studies cite an extremely low success rate (between .17% and 5%) but then assert in their conclusions that it’s still a good idea to set a weight loss goal and use the method that they just showed almost never works.

Weight Watchers own numbers show that the average person maintains a 5 pound weight loss after 2 years (a feat I feel could be accomplished by regular exfoliation and without paying a small fortune to Weight Watchers.)  Representatives from WW once said that they wouldn’t do longer term studies because it would be too depressing for their clients.

Weight loss is the snake oil of our time – promised to “cure what ails ya”, no matter what that is, when in truth there is basically no more research to support weight loss than there is to promote good old fashioned snake oil. There isn’t a study that shows that weight loss is possible for the majority of people, and there isn’t a study that shows that if it was successful it would make people healthier.  This entire thing is based on everybody knows.

Almost everyone who attempts weight loss fails.  Yet doctors keep prescribing the same things and blaming more than 95% of people for not trying hard enough or not doing it right. Can you imagine if Viagra only worked 5% of the time and we blamed 95% of the guys for just not trying hard enough?  It’s completely ridiculous.  But when I point this out people roll their eyes and say “everybody knows” that you can lose weight if you really try.

Let me say it again – even if weight loss would solve every problem, it doesn’t matter because we don’t know how to get it done and my opinion, based on the research that exists, is that it is a massive waste of time, money, and resources to keep suggesting, marketing, prescribing, and pursuing weight loss.  (Especially when there is good evidence that there are other ways to pursue health if that’s a priority.)  If people want to keep researching weight loss methods that’s fine, it’s also fine if they want to keep researching ways to help people fly like superman, but I certainly won’t be dieting or jumping off my roof and flapping my arms at least until someone has figured out that it’s possible.  For now losing weight to get healthier is doing something that nobody has proven is possible for a reason that nobody has proven is valid.

Talking to Your Doctor

There are two spots available for the online class “How to Talk to Your Doctor – Be Your Own Medical Advocate” class on Monday the 28th from 3-5pm Pacific. You can register at http://tinyurl.com/medicaladvocate or get more information at https://danceswithfat.wordpress.com/workshop-talking-to-your-healthcare-provider/ (The paypal button is inventory controlled so it won’t let you register unless there are spots available.)

Like my blog?  Here’s more of my stuff!

The Book:  Fat: The Owner’s Manual  The E-Book is Name Your Own Price! Click here for details

Become a member: For just ten bucks a month you can keep this blog ad-free, support the activism work I do, and get deals from cool businesses Click here for details

Interviews with Amazing Activists!!  Help Activists tell our movement’s history in their own words.  Support In Our Own Words:  A Fat Activist History Project!

Dance Classes:  Buy the Dance Class DVDs or download individual classes – Every Body Dance Now! Click here for details 

If my selling things on the blog makes you uncomfortable, you might want to check out this post.  Thanks for reading! ~Ragen

Imagine If It Was Really About Health

Ask QuestionsI was pondering today what might happen if everybody who said that they cared about health (and not just about body size) really did care about health (and not just body size)? Health is multifaceted and not entirely within our control, the definition can be completely arbitrary and nobody is obligated to prioritize health, and it is definitely not a barometer of worthiness.  But since there is a virtually inescapable national dialog around the subject, there are some things that I wonder about it.

What if we stopped conflating the two separate concepts of weight (and the body size that a culture happens to value aesthetically) and health (the way that bodies actually work in terms of metabolic health, strength, stamina and flexibility that is complicated and not entirely within our control)?  What if the conversation about health was actually about public health and not public thinness?

How would the $60,000,000,000 we currently pay to the diet industry every year be used?  Sustainable organic farming that could bring down the price of organic food?  Parks and playgrounds that will allow kids to have safe places to play and move? Programs to make food and safe movement options available and affordable?

Would fat people who go to their doctors with a health issue actually be treated for that health issue instead of getting diagnosed as “fat” and prescribed a smaller body? Would we never again have someone’s life and health endangered because their doctor diagnosed them as fat instead of properly diagnosing and treating their real health issue?

Would scientists and the government spend their time and our money studying what things could make us healthier instead of spending all of their time and money (and the diet industry’s money) trying to make us all smaller?

Would fat people be healthier simply by virtue of not living in a society where we are constantly stigmatized?

What would the people who are obsessed with leaving me hate comments do with all of their new-found free time?

Would people still sign up for a contest giving away a surgery with a less than 20% success rate and a massive negative side effect rate that  includes death?

How would the world, and our relationships be different if the 8 out of 10 women who are currently dissatisfied with their bodies actually liked themselves?

What would happen if fat people were seen as people who live in large bodies, and weren’t assumed to be lazy, unhealthy, unattractive etc?  Would we stop missing out on hiring really smart, really capable people who are currently not hired simply because of the bigotry that exists around our body size?

What truths would we learn about health options for fat people if doctors and scientists studied healthy fat people instead of just calling them an anomaly or a paradox, or telling us that no matter how healthy we are – it won’t last?

Would eating disorders among kids under twelve be up 119% in the last decade if we didn’t have “war on fat kids” and if kids didn’t start yo-yo dieting as early as age 8?

Would we learn to celebrate the diversity of body sizes the same way that we celebrate the rest of the diversity in nature?

I don’t know the answers, but I’d damn sure like to find out…

Like my blog?  Here’s more of my stuff!

The Book:  Fat: The Owner’s Manual  The E-Book is Name Your Own Price! Click here for details

Become a member: For just ten bucks a month you can keep this blog ad-free, support the activism work I do, and get deals from cool businesses Click here for details

Interviews with Amazing Activists!!  Help Activists tell our movement’s history in their own words.  Support In Our Own Words:  A Fat Activist History Project!

Dance Classes:  Buy the Dance Class DVDs or download individual classes – Every Body Dance Now! Click here for details 

If my selling things on the blog makes you uncomfortable, you might want to check out this post.  Thanks for reading! ~Ragen

Bullying For Our Own Good

credible hulkI was in a documentary called America the Beautiful 2 – The Thin Commandments (now available on Netflix.)  The director, Darryl Roberts, asked me for my thoughts on an e-mail he had received from someone who watched the film.  I think that it illustrates a lot of common misconceptions about fat people.  Darryl agreed to let me blog about it, of course keeping the author anonymous.  I’ve split the email up to answer.  It contains some highly triggering language, you can skip the indented sections if you just want to read just my commentary.  Of course I can’t answer for everyone in the film, or all fat people, or anyone other than myself, but here are my thoughts:

I was teased mercilessly at school. You can say that a more accepting society wouldn’t tease me, so this wouldn’t be a problem, but consider this: the reason that people tease, pick on, make fun of people that are different (and always have across cultures), is to help stop the behavior that makes the person different, and bring him/her more in line with societal norms. While obviously there are less mean spirited ways to help people fit in, in the end, the desire not to be teased motivated me very much to lose weight.

There’s a word for this behavior and that word is bullying and it’s not ok.  While the desire not to be teased motivated you to want to lose weight and you were lucky enough to be able to succeed in solving social stigma by giving your bullies what they wanted, consider this:  some kids can’t change, some don’t want to, and none should be forced to comply with their bullies demands in order to live life without merciless teasing.  Kids are different, that’s a good thing, and the notion that bullies are just helping out kids who don’t conform is desperately misguided. Consider this:  you were able to solve your bullying problem by giving the bullies what they wanted. Some bullied kids commit suicide.

Not to mention, we don’t know how to make fat kids thin and the experiments that are being tried are failing miserably. Instead of leading to thinner kids or healthier kids (two different things by the way) they are leading to eating disorders.

Research from the University of Minnesota found that: None of the behaviors being used by adolescents for weight-control purposes predicted weight loss…Of greater concern were the negative outcomes associated with dieting and the use of unhealthful weight-control behaviors, including significant weight gain.

The American Academy of Pediatrics reported that hospitalizations of children younger than 12 years for eating disorders rose by 119% from 1999 to 2006. There was a 15% increase in hospitalizations for eating disorders in all ages across the same time period.

A new study is looking at the effects of “school based healthy-living programs.” that were implemented without research about effectiveness or inadvertent harmful effects. This study found that these programs are actually triggering eating disorders in kids.

A second motivator for me was that I loved sports. I could never run as fast, jump as high, or play with the same endurance as the other kids because of the extra weight I carried.

The pillars of athletics are strength, stamina, flexibility, and technique which can be worked on by kids (and adults) of all sizes. We all have different athletic potential, there are plenty of unathletic thin people so being thin is not a guarantee of athletic performance.  There are over 2,000 members of the Fit Fatties Forum pursuing athletics at every level from just for fun to professional.  Considering that most weight loss attempts end up in the person being heavier than when they started, perhaps the best thing that we could do for all athletes is to encourage them to work on athleticism rather than body size.

Mostly though, the hardest part of being overweight for me was the lack of interest from the opposite sex. Undeniably, every society throughout history has evaluated the worth of partners based on looks, and humans are not alone in this (think peacock’s feathers). While a ripped physique may be tough to attain, it is not nearly as insane as the tiny bound feet found attractive by past Asian cultures, or the stretched necks and earlobes of the Masai in Africa. In fact, it could be argued that today’s beauty ideals are indeed the healthiest ever held.

When you talk about “today’s” beauty ideals, you are discussing the beauty ideals of a very specific group of people – there are places around the world with very different ideals.

Considering this culture’s increase in eating disorders, and the amount of money spent on the beauty, cosmetic surgery, and diet industries, it could also be argued that today’s beauty ideals are seriously unhealthy – based on a Photo Shop perfection that isn’t even attainable by the people in the pictures we’re trying to emulate. It’s also worth pointing out that the ability to attain a ripped body by various definitions is highly tied to genetics and also to socioeconomic status (having the time and resources to make a ripped body a priority over, say, working a third job to pay the electric bill) as well be willing to have a partner who only wants someone who fits into a very narrow stereotype of beauty. People are allowed to do all of those things but it’s not the only option.

I like that those who date me have shown the ability to perceive beauty beyond the stereotype that has been spoon fed to them by industries that profit from people’s desperation to fit in.  I also don’t live in constant fear that time or circumstance will change the superficial, causing my partner to go looking for the stereotype that I no longer am.  My friends who do fit the beauty stereotype constantly tell me about their frustration with being approached because they meet someone’s shallow beauty ideals with little care about the amazing women and men they are so I know that, at least for some, it’s not all rainbows and fuzzy bunnies on the lower end of the BMI scale.

I agree wholeheartedly that BMI is a ridiculous measure of health. Obviously it doesn’t adjust for skeletal muscle mass percentage compared to body fat percentage. Clearly the school in your film did not explain BMI clearly, because the students had no idea how it worked (being tall does not make you overweight, nor do you have to divide anything to calculate BMI). As much as we all hate calipers, I feel very strongly that body fat percentage does give you a much better indicator of health.

You’ve been misinformed. The formula for BMI is: weight in pounds times 703 DIVIDED BY height in inches squared.  The BMI calculation is also skewed against tall people because typically mass will increase with the cube of the linear dimension, but – as you can see from the formula – BMI uses the square which will skew to higher BMI’s for those who are tall.

As for body fat percentage, you are welcome to feel strongly about whatever you want, but there is plenty of research supporting behavior as a predictor of future health.  And once again, even if body fat was the best measurement, there isn’t a single study where even a majority of participants were able to maintain significant weight loss over time so if you think body fat is bad, then suggestion intentional weight loss attempts is statistically the worst thing that you could suggest.

Excess fat leads to all sorts of problems. While you can easily point to myriad professional athletes with high BMIs, you will be much harder pressed to find those with above average body fat (sumos and offensive lineman withstanding). Carrying excessive body fat slows you down.

I’m not sure that we should be using professional athletes as our models for health -many of them actually put their long term health in danger to pursue their sport.  If you want to focus on health, there’s good research that shows that those who do 30 minutes of movement 5 times a week get tremendous health benefits at any size. Consider that, if we choose to prioritize health, healthy behaviors are our best chance for a healthy body – though of course there are no guarantees.

As you carry more and more body fat, life gets harder and harder. It’s harder to go places. It’s harder to find comfortable clothes. It’s harder to clean yourself properly. It’s harder to play with your kids. It’s harder to get up off of the couch. Everything is harder.

There are people at all sizes who have good mobility and people at all sizes who have poor mobility for all kinds of reasons, none of which are a barometer of worthiness by the way.  As a fat person who has been both fat and thin I can tell you that bullying and stereotyping make my life much more difficult than extra weight does.  Not to mention that even if being thinner would make things easier we don’t know how to get that done.

Though some people are able to maintain weight loss long term they are statistical anomalies, the vast majority of people who attempt weight loss fail in the long term.  My life would be way easier if I could fly but I’m not going to jump off my roof and flap my arms really hard – and the chances of flying are only about 5% less than the chances of long term weight loss.

Multiple recent studies from highly credible sources have come out showing that underweight people (who eat extremely restrictive diets) may actually live longer than those with what we consider to be healthy weights.

Cite your sources please.  There is research that suggest that people who are in the “overweight” category actually outlive those in the normal weight category so obviously there isn’t scientific consensus on this.

For me, the real question is this: at what point does quality of life trump quantity of life? If you love eating more than you love playing with your kids, then perhaps morbid obesity leads to greater happiness for you. I think that most people would find the opposite to be true.

You’ve drawn a ridiculous false dichotomy here, relying completely on the stereotypes.  There are thin people who eat tons of food and don’t gain weight and there are fat people who eat a moderate amount of food and stay fat.  Body size is a matter of genetics, behaviors, and the effects of past behaviors (with past dieting predicting a higher body weight since most weight loss attempts end in weight gain.) It’s complicated and not entirely within our control.

The joy of eating is a very small joy compared to other joys for me. I have more fun riding my bike, competing in soccer and hockey, reading a good book, or spending time with my friends and family than I ever have eating.

That’s absolutely your choice to make. Plenty of fat people make the same choice. This is also not an either/or.  People can, and do, enjoy food and do all of the things that you mentioned.

Food should be viewed as fuel for life. You can put low quality fuel in a rental car because you are only going to have it for a few days, but your body is kept for life. For this reason, I choose to feed my body a healthy amount of high quality fuel to keep it running smoothly.

You are breaking the underpants rule.  You get to decide what you believe but you do not get to tell anyone else how to live or what food should be for in their lives. The belief that someone’s body size can tell you the quality of food that they eat is a myth.

I fear that half the message of your documentary was right. People can certainly yo-yo diet. Kids are teased because of being overweight. BMI is not a good enough metric for determining health. That said, I do not think that happiness comes from loving yourself as you are, and forgiving your shortcomings. Love yourself, certainly, but work on your weaknesses! Make yourself the kindest, happiest, healthiest, best person you can be!

You are welcome to view your body as a shortcoming or weakness, but nobody else is obligated to view their bodies that way.  My body is awesome and I’m not going to trash it just because it doesn’t meet some stereotype of beauty.  You are welcome to attempt to make yourself into whatever you want but it’s not your job to tell other people what to make themselves into, nor is it your job to dictate what defines happiest, healthiest, or best for others, or that they should strive for that.

Though I cannot agree completely with your message, I enjoyed the movie very much.

Cool

PS. I am not sure which character was more sad, the extremely fit real estate agent who obsessed over her weight, or the dancer that ate 10,000 calories a day. Both are pretty extreme examples of eating disorders, and neither seem healthy to me.

How sweet of you to mention me specifically.  I met the Real Estate Agent at several of the premieres, she seemed like an awesome person.  The second time I met her we laughed at how people do what you are doing here. I am curious where you got the idea that I ate 10,000 calories a day, or how you feel comfortable diagnosing either of us with an eating disorder.  It seems to me that you may suffer from an over-exaggerated sense of self-importance, but that’s just my guess, I could be wrong.

In general it seems that this person has fallen prey to the Galileo issue of our time – the idea that “everybody knows” that  a cursory glance at someone tells you everything that you need to know about their health and habits, and no amount of evidence can change their minds.  The truth is that there are people of vastly different weights with the same eating and exercise habits and people of the same weight with very different eating and exercise habits.  Body size and health are complicated, multifaceted and not entirely within our control.  When you make guesses about people based on the way that they look, that’s stereotyping.  When you attach judgments to those guesses, that’s bigotry.  To paraphrase the brilliant Marilyn Wann, the only things you can tell from someone’s body size are the size of their body, and your prejudices about bodies that size.

Like my blog?  Here’s more of my stuff!

The Book:  Fat: The Owner’s Manual  The E-Book is Name Your Own Price! Click here for details

Become a member: For just ten bucks a month you can keep this blog ad-free, support the activism work I do, and get deals from cool businesses Click here for details

Interviews with Amazing Activists!!  Help Activists tell our movement’s history in their own words.  Support In Our Own Words:  A Fat Activist History Project!

Dance Classes:  Buy the Dance Class DVDs or download individual classes – Every Body Dance Now! Click here for details 

If my selling things on the blog makes you uncomfortable, you might want to check out this post.  Thanks for reading! ~Ragen

Both Sides Now

Ask QuestionsI am often struck by a particular issue in public health messaging wherein there are two sides of an issue but we ignore one of them in order to reinforce cultural stereotypes about health and weight.

For example, almost everyone knows someone who eats a ton of food and never gains weight. Although that person may be treated poorly (which isn’t cool at all) we tend to accept that this is a phenomenon that can happen.  Yet if a fat person says that they eat a reasonable amount of food but don’t lose weight everyone starts yelling “THERMODYNAMICS!  YOU ARE A BIG FAT LYING LIAR!”  If we accept that some people eat a lot of stay thin, then we have to accept that some people eat a little and stay fat.  Of course how much someone eats, why they eat it, and what size they are is nobody’s business but the fact that society only accepts one side of this equation is very troubling.

Another dangerous example is the belief that the only way to increase mobility is to lose weight.  We believe that people will move better with less weight and the same amount or less muscle (because muscle may well be lost in the weight loss process,) but we don’t accept that people can move better at the same weight with more muscle.  Considering that the vast majority of people who attempt intentional weight loss end up fatter, this is highly problematic since the most common outcome of the mobility intervention is most likely to have the exact opposite of the intended effect.

Peter Muennig’s work from Columbia found that “Obese persons experience a high degree of stress, and this stress plausibly explains a portion of the BMI-health association. Thus, the obesity epidemic may, in part, be driven by social constructs surrounding body image norms.”  He also found that “The difference between actual and desired body weight was a stronger predictor than was body mass index (BMI) of mental and physical health.”

But those of us who suggest that liking and appreciating our bodies is the first step to health (knowing that health is not entirely within our control, not a barometer for worthiness, and not up for public discussion), and that public health interventions that shame and stigmatize fat people may actually harm us, are shouted down by people who insist that shaming and stigmatizing fat people – convincing us to hate ourselves – is not only necessary, but laudable.

Currently our public health interventions are based on shaming and stigmatizing fat people, making fat people’s bodies the public’s business, and equating body size with health.  This isn’t working, largely because shaming and stigmatizing fat people tends to work and so we believe that our bodies are not worthy of care, and because weight and health are two different things.

On the other side are Size Acceptance and Health at Every Size which insist that basic human respect and the rights to life, liberty and the pursuit of happiness are, in fact, inalienable and not size, health, or healthy habit dependent.  They also suggest that liking and appreciating ourselves gives us the best platform for making decisions about health and self-care, and that, if health is a priority for us, healthy habits are our best chance for our healthiest body (though of course there are no guarantees.)  I’ve looked, and lived, at both sides and now and I am so happy that I did.  This side is better by leagues and I’ll never go back.

Like my blog?  Here’s more of my stuff!

The Book:  Fat: The Owner’s Manual  The E-Book is Name Your Own Price! Click here for details

Become a member: For just ten bucks a month you can keep this blog ad-free, support the activism work I do, and get deals from cool businesses Click here for details

Interviews with Amazing Activists!!  Help Activists tell our movement’s history in their own words.  Support In Our Own Words:  A Fat Activist History Project!

Dance Classes:  Buy the Dance Class DVDs or download individual classes – Every Body Dance Now! Click here for details 

If my selling things on the blog makes you uncomfortable, you might want to check out this post.  Thanks for reading! ~Ragen

Michelle Obama’s Repeated Mistake

social-changeLast year when I found out that Michelle Obama was going on The Biggest Loser, I wrote an article with Darryl Roberts talking about what an absolutely horrible idea it was and why.  Unfortunately it didn’t get the job done because Michelle Obama is planning to appear on the show again this year.  The article we wrote is below if you want to read it, right now though you can help the campaign to stop the First Lady from going to TBL and hopefully start a dialog about why this culture that she is perpetuating is so dangerous. Here are some activism opportunities:

Sign the petition:  http://www.change.org/petitions/first-lady-michelle-obama-please-do-not-appear-on-the-biggest-loser-and-instead-engage-with-the-advocacy-communities-specializing-in-weight-stigma

Utilize these Pinterest memes  http://www.pinterest.com/bingebehavior/biggest-loser-and-weight-stigma/ 

Spread the petition and memes using your own social media.

Do other awesome things and let us know about them in the comments.

Here is the article we wrote last year:

When I heard that Michelle Obama was going on The Biggest Loser to congratulate the participants on being role models I knew that I had to do something.  So I e-mailed my friend Darryl Roberts, filmmaker of America the Beautiful 2: The Thin Commandments. We wrote a well-researched article pointing out the problems with Mrs. Obama endorsing the contestants as role models.  That article is below.

It wasn’t meant for this blog, but it’s now been turned down by three major media outlets.  Not because they disagreed with us, in fact all three said that they agreed with the article.  It was denied in all three cases because the White House wouldn’t like it, they were worried about damaging their working relationship with the White House, and because it it made the First Lady “look bad and out of touch.”  That confused me since I think the problem is that the First Lady IS out of touch, not that I’m pointing it out. And why does the media believe that, in America, we should be scared to question our government?

So I’m using my little forum here to get this out.  But before I do, I want to make an invitation:  Michelle Obama – have lunch with me.  I believe that you are a good person and that your intentions to improve kids’ health are good, and I don’t believe that you intend for the media to be too scared to publish pieces that are critical of you.  I’m a champion athlete, a trained researcher, and a real live fat woman and I think that a good place to start is for us to have a conversation.  Tell me where and when you’d like to have lunch and I’m buying. In the meantime, here’s the piece that the media was too scared to publish:

Michelle Obama’s “Biggest” Mistake

By Darryl Roberts and Ragen Chastain

I have had the opportunity to get to know Health at Every Size proponent Ragen Chastain after interviewing her for my documentary America the Beautiful 2: The Thin Commandments.  I was coming home from a screening of the movie when I received an email from Ragen alerting me to the fact that our first lady Michelle Obama was going on The Biggest Loser to proclaim the contestants as role models.

I will admit that initially I didn’t quite believe this. “The Biggest Loser,” is a show that’s exploits a very dangerous aspect of American life, the unhealthy ways in which we attempt to lose weight. Surely the First Lady had to know this. But it turned out to be true and, knowing what we know about health and weight, Ragen and I decided that we had to respond.

Mrs. Obama, we know you love our youth as much as we all do and that you want to see them healthy, but we would ask you why you chose a game show like The Biggest Loser as a platform to promote “getting healthy.” and why you continue to push weight loss even though it doesn’t meet the criteria of evidence based medicine.

Have you vetted what happens to some the contestants one of two years after the show?

The New York Times did some digging and this is what they found:

“The Biggest Loser has produced some amazing results for its obese contestants, but at what cost? Many see the pounds come right back, and it’s likely because they engage in dangerous, damaging behavior in the first place in order to win the weight-loss reality show, the New York Times has learned. Season one’s winner, who’s almost back to his original weight of 330 pounds, dehydrated himself to the point of urinating blood. “I’m just waiting for the first person to have a heart attack,” says a doctor.

This season’s first episode resulted in two hospitalizations, which is scary given the content of a release form obtained by the Times. It reads: “No warranty, representation or guarantee has been made as to the qualifications or credentials of the medical professionals [on the show].”

Shockingly, contestants who talk about being completely inactive sometimes for years have to attest that they are “in excellent physical health”. And while the Times got some tidbits — contestants apparently work out in as much clothing as possible when the cameras are off — few were willing to talk. After the paper started digging around, former contestants were emailed a reminder of the serious consequences that come with unauthorized interviews: fines of $100,000 to $1 million.”

A lot of our youth actually start off exercising and eating better. But when they don’t see the “desired result” on the scale, they stop because they mistakenly think that if their healthy habits don’t lead to weight loss then they can’t lead to health.

From my travels with the film and Ragen’s work as an expert speaker on Health at Every Size, we can produce health professionals from Harvard, Princeton, Michigan State, the University of Denver, UCLA, etc. who will tell you exactly what we’re telling you.

What do you think of Michelle Obama going on Biggest Loser to congratulate participants on being good examples of health?

RAGEN:  This is an illustration of good intentions gone horribly awry.  Calling these contestants good examples of health and fitness is deeply problematic.  There are already firsthand accounts of Biggest Loser contestants being encouraged to engage in incredibly unhealthy behaviors, including working out against doctor’s orders and manipulating their weight through dehydration

According to an interview with Golda Poretsky (http://www.bodylovewellness.com/2010/06/09/kai-hibbard-biggest-loser-finalist-part-1-of-3/) with former contestant Kai Hibbard:

“They start teaching you that because you are overweight you are sub-human …There was a registered dietician that was supposed to be helping … but every time she tried to give us advice … the crew or production would step in and tell us that we were not to listen to anybody except our trainers.  The doctors had ordered us to take [a solution to re-balance our electrolytes] and the trainers were like, “Throw it out, right now.”  So I got to a point where I was only eating about 1,000 calories a day and I was working out between five and eight hours a day …   And my hair started to fall out.  I was covered in bruises.  I had dark circles under my eyes … My period stopped altogether and I was only sleeping three hours a night.  I tried to tell the TV show about it and I was told, “Save it for the camera.”

Exactly what’s wrong with the “lose weight” to be healthy approach?

RAGEN: Teaching kids about healthy eating and helping them develop a lifelong love of movement are excellent intentions.  Focusing on the weight of kids in order to do that is simply horrible execution.

The National Institutes of Health (NIH) stated recently that a program that shames kids carries  “a great risk of increasing stigma for those children who are overweight or obese which, in turn, can reinforce unhealthy behaviors (e.g., overeating),” and also said:

“Studies suggest that overweight children who are teased about their appearance are more likely to binge-eat or use unhealthy weight-control practices, and weight-based victimization has been correlated with lower levels of physical activity. Not surprisingly, stigmatization of obese individuals, particularly adolescents, poses risks to their psychological health.”

Hospitalizations for eating disorders in children younger than 12 years old rose by 119% from 1999 to 2006 according to a report issued by the American Academy of Pediatrics (AAP) published in the journal Pediatrics.

It’s not just that focusing on kid’s weight might hurt them, it’s also that it doesn’t help.  According to research from the University of Minnesota “None of the behaviors being used by adolescents (in 1999) for weight-control purposes predicted weight loss[in 2006]…Of greater concern were the negative outcomes associated with dieting and the use of unhealthful weight-control behaviors, including significant weight gain.”

Meanwhile there is not a single study that shows that weight loss works for more than a small fraction (about 5 percent) of people.  The cold hard truth is that there is absolutely no evidence that supports the idea that the majority of fat people can become thin through diet and exercise.

Is There a Solution?

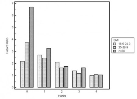
RAGEN:  Absolutely.  The fact that I’m a healthy fat athlete isn’t a surprise or a paradox, there are lots of us.  A great deal of evidence (Matheson et. al., Wei et. al, the Cooper Institute etc.) points to the conclusion that healthy habits make healthy bodies in a wide variety of sizes.

Matheson et. al. People who participated in four healthy habits had essentially the same hazard ratio regardless of their weight. Obese people who participated in four healthy habits had a dramatically lower hazard ratio than thin people who did not participate in healthy habits.

The worst thing is that all this focus on the weight of individuals is distracting us from the systemic issue of lack of access.  Many people do not have access to the healthy foods that they would choose to eat -including foods that are not genetically modified or full of hormones or government subsidized high fructose corn syrup.  Many people do not have access to safe movement options that they enjoy, or to affordable evidence-based health care.  But as long as we focus on little Johnny’s BMI, we don’t have to address the real problems here and we can just keep shaming and blaming fat kids and adults and misinforming them and everyone else about the odds of becoming permanently thin.

We admire Michelle Obama and we believe that she is a strong woman.  In fact, we believe that she is strong enough to step up to a microphone and say “I truly believed that I was doing the best thing for kids’ health.  I now realize that I was wrong, and I am going to lead the charge in fixing it.  We are going to start focusing on supporting the development of healthy behaviors, and access to healthy safe movement options, and affordable evidence-based healthcare for kids of all sizes, and we are going to stop focusing on the weight of any kids at all.”

We look forward to seeing it.

++++++

So that’s the article that was “too controversial” for three major media outlets.  I’ll end the way I started.  Mrs. Obama, I’d like to take you to lunch.  No need to spend government money – I’ll come to Washington DC at my own expense, we’ll go to lunch and I’m buying.  I think that we both believe in giving our citizens the opportunity to achieve their health goals and I think that if you are trying to eradicate obese people, it is worth talking to one and seeing if we can learn from each other.  What do you say?

Like my blog?  Here’s more of my stuff!

The Book:  Fat: The Owner’s Manual  The E-Book is Name Your Own Price! Click here for details

Become a member: For just ten bucks a month you can keep this blog ad-free, support the activism work I do, and get deals from cool businesses Click here for details

Interviews with Amazing Activists!!  Help Activists tell our movement’s history in their own words.  Support In Our Own Words:  A Fat Activist History Project!

Dance Classes:  Buy the Dance Class DVDs or download individual classes – Every Body Dance Now! Click here for details 

If my selling things on the blog makes you uncomfortable, you might want to check out this post.  Thanks for reading! ~Ragen