Never Again, Starting Now

Forty three years ago today, at almost the exact time that I’m typing this, the gay rights movement took a dramatic turn at The Stonewall Inn in Greenwich Village.  It was there that some of the most disenfranchised members of the gay community fought back for the first time in the start of what is now known as The Stonewall Riots.

From an activism standpoint what is most interesting to me about the Riots is that there was really nothing special about that night.  Gays were subject to a tremendous amount of overt, purposeful institutionalized oppression by the government at that time.  Police raided bars that were known to cater to LGBT people, including the Stonewall Inn, all the time. Personal accounts from people who were there indicate that many of them had been in many police raids prior to the raid at the Stonewall Inn.

In the early hours of June 28, 1969 the circumstances were the same – but the people changed.  They made a decision that no matter what the odds were, no matter who was against them, even if the government and most of the country claimed that they were unhealthy, a drain on society, gay because of bad choices, or whatever else – they were going to fight back.  They were not going to lay down and allow this oppression to go unanswered or try to change themselves to be who other people thought they should be. So they picked something up and threw it – not because they knew how they would get to the equality finish line, but because they were not willing to go another day without fighting back. They decided: Never again, starting now.

So many people who perceive themselves as fat in the United States still feel like they deserve the treatment they are getting.  It’s not even about whether people want to change their body size or not, it’s about the fact that no matter what they want to do with their bodies, nobody should be treated the way that fat people are treated.  American citizens are promised the right to life, liberty and the pursuit of happiness – which should damn well include the right to live without having a war waged on us by our government because of how we look. And it’s not limited to America, around the world governments have decided that the best use of fat taxpayer’s money is to use it to shame, stigmatize and oppress us until we get thin, which the research says 95% of us never do long term no matter how hard we try.

It doesn’t matter whether you are thin or fat, whether you are dieting, or practicing Health at Every Size, or something else – you can be a Size Acceptance Activist.  Size Acceptance is about ending weight bullying, stigma and oppression  and allowing everyone to make their own decisions about their health.  It means that I support people’s right to diet and they support my right to practice Health at Every Size and none of us would ever say a negative word about each other’s bodies, and we all stand for a world without shame, stigma, weight bullying or size oppression.

We are living in a world where fat people are being stigmatized and oppressed.  As wesurf the internet today,  we’ll probably see articles that try to convince us that fat people are to blame for the troubles of the world (as people have tried to blame so many other groups), we’ll probably be recruited to fight for the war on obesity, we may overhear/be part of conversations where fat people shamed or stigmatized,  we may witness or be the subject of fat bashing.  That happens every day, those circumstances haven’t changed.  But we can.

You can decide that you won’t allow this oppression to go on unanswered.  If you are struggling with self-esteem you can look for ways to support yourself in the belief that you deserve to be treated with respect in the body you have now. If you find that you have negative feelings about fat people you can take responsibility for actively working to overcome those feelings.  You can post body positive things to your Facebook page, twitter, blog, pinterest, tumblr etc.  You can sign a petition, you can interrupt body snarking and stand up for the fact that all bodies are beautiful, you can leave a positive comment in a space with a ton of fat bashing (for some support with that you can join the Rolls Not Trolls community).

You are not obligated to be a Size Acceptance Activist but you can if you want to be, and there are endless ways to take a stand. Not because that particular stand is going to end weight bullying – you don’t have to have any idea how we are going to end this war. But consider that unless we fight back it’s not even a war on obesity, it’s just a massacre of obese people.  NOBODY deserves to be treated the way that fat people are treated right now.  It will stop when we put a stop to it, and that starts when we say Never Again, Starting Now.

Only a few days left to pre-order the book.  Pre-ordering my book now to  get an autographed copy and free shipping!

Fat: The Owner’s Manual – Navigating a Thin-Obsessed World with Your Health, Happiness, and Sense of Humor Intact, with foreword by Marilyn Wann, is now available for pre-order.   This is a book about living life in the body that you have now, making decisions about what you want in the future, and how to get there.  Whether you want to change your body, fight for size acceptance, just live your life, or understand and support your fat friends and family, this book was written to provide the insights, aha moments, humor, and hard facts to help.

Become a Member, Support The Work!

I do HAES and SA activism, speaking and writing full time, and I don’t believe in putting corporate ads on my blog and making my readers a commodity. So if you find value in my work, want to support it, and you can afford it, you can  become a member (you get extra stuff, discounts, and you’re always the first to know about things) or a you can support my work with a  one-time contribution.  The regular e-mail blog subscription (available at the top right hand side of this page) is still completely free. If you’re curious about this policy, you might want to check out this post.  Thanks for reading! ~Ragen

Government to Give a Pony to Every Fat Person

I know I’ve been really ranty lately so today I wanted to do a pleasant blog about something positive, like ponies – but the government just keeps doing dumb ass things to fat people so we’re going to do a little from column A, a little from column crap.

First I saw this article (trigger warning: fat shaming, correlation vs. causation error, headless fatty pictures, comments as expected, including suggesting that we should just starve poor fat people, I hope that person’s mama is proud.)  The headline states “Obese Adults Should Get Counseling, Federal Task Force Says” so already  I’m super psyched.

It seems that “a federal health advisory panel on Monday recommended that all obese adults receive intensive counseling.” While I can see how we might need counseling to help us deal with all the BS we encounter from the useless War on Obesity, sadly this would just be more weight loss propaganda – but in counseling form. The news study didn’t say how many people on the advisory panel stood to profit from the recommendation, but I’m curious.  My first question was answered by this sentence “The panel acknowledged that one problem with its recommendation was that no studies have shown such intensive programs provide long-term health benefits.”

Wait…What?  Let me get this straight – ONE of the problems is that they have no reason to believe that this will work.  If that’s the case, does it matter what the other problems are?  Are there problems bigger than the fact that they want to spend a ton of money on an intervention which has no basis in evidence? Why are they still considering this?

Obesity is not a disease, but even if it was, I would not submit to being part of an experimental treatment.  Even if we pretend that obesity is a disease, there are NO OTHER DISEASES where everyone who has the disease is constantly subjected to experimental treatments with no evidence basis and without being informed of the experimental nature of the treatment or that it fails 95% of the time, and that 80% of the time it results in the exact opposite of the intended outcome; all by people who are making tens of billions of dollars a year in profits selling the experimental interventions without ever being asked to provide evidence of efficacy, and in fact blaming the people with the disease when they are not cured.  And the reason that doesn’t happen is because it would be completely nuts.  Patient’s rights advocates would rightly freak the hell out.  As fat people, we have the right to freak the hell out.  We have the right to say no to this, vehemently.  We have the right to refuse to be experimented on, especially at our expense and for someone else’s profit, especially when the “diagnosis” is a simple ratio of height and weight.

Here’s how I expect my counseling session would go:

Counselor:  “Ragen, are you aware that your body is a socially unacceptable size to which I am erroneously attributing disease causality.” No wait, that’s what they should say, what they would probably say is “Ragen, are you aware that you are obese and that you need to lose weight to be healthy?”

Me:  “I didn’t consent to be the subject of an experimental treatment with no evidence basis, so first how about you provide me with evidence that this counseling is likely to lead to permanent weight loss, let’s say over a five year period, with no negative side effects. I’ll wait” And then I die of old age in the chair before he/she can produce any evidence.

Then I found out that the government in Western Australia teamed with Heart Foundation and Cancer Council WA to create television spots that show pictures body fat, making it look as disgusting as possible (as if the rest of our innards look like cute fuzzy bunnies) in an effort to shame and terrify people into losing weight.  Now, it’s not that people aren’t trying to lose weight (the diet industry makes billions every year), it’s that weight loss hardly ever works, and when it does there’s no proof that it makes people healthier in the long term.

But the WA government can’t be bothered with annoying facts and evidence – they’ve got to “do something” about obesity.  Apparently they didn’t feel that it was enough that the media, government, medical establishment etc. work day and night to make fat people ashamed and terrified of how we look on the outside, now they want us to also be ashamed and terrified of how we look on the inside as well.  I say fuck a bunch of that – I’ll hold a sign that says “beautiful inside and out” while wearing a glittery pink argyle bikini and holding a body scan picture, and the WA government can come kiss my big fat ass.

So I’ve decided to throw my hat in the ring of suggesting random crap for “curing” obesity.  I think that every fat person should get a pony.  Why the hell not? Who knows, maybe ponies are the key to thinness.  I have precisely as much evidence to support my theory as the US and Australian governments have to support theirs and they are looking at millions, maybe billions of dollars of funding for their programs.  If we’re going to waste my tax dollars then I’d like to waste them on a pony, because even if I don’t get thin (which of course I won’t) – hey, pony! Of course, I’d rather have my tax dollars go toward making evidence-based healthcare from HAES doctors available and affordable for me, but I think the pony thing might actually be more likely.

Activism OpportunityThey want a war on obesity?  Let’s give them one.

Sign the petition against the WA fat shaming campaign.  [trigger warning:  it contains a picture of body fat.  I don’t personally think that’s triggering because it’s just what we look like on this inside, but I wanted to let you know.)

Pre-ordering is almost over!  Pre-order my book now to  get an autographed copy and free shipping!

Fat: The Owner’s Manual – Navigating a Thin-Obsessed World with Your Health, Happiness, and Sense of Humor Intact, with foreword by Marilyn Wann, is now available for pre-order.   This is a book about living life in the body that you have now, making decisions about what you want in the future, and how to get there.  Whether you want to change your body, fight for size acceptance, just live your life, or understand and support your fat friends and family, this book was written to provide the insights, aha moments, humor, and hard facts to help.

Become a Member, Support The Work!

I do HAES and SA activism, speaking and writing full time, and I don’t believe in putting corporate ads on my blog and making my readers a commodity. So if you find value in my work, want to support it, and you can afford it, you can  become a member (you get extra stuff, discounts, and you’re always the first to know about things) or a you can support my work with a  one-time contribution.  The regular e-mail blog subscription (available at the top right hand side of this page) is still completely free. If you’re curious about this policy, you might want to check out this post.  Thanks for reading! ~Ragen

Me and Dr. Shapiro

My favorite picture of Darryl and I – from the LA premiere. I’m rocking an awesome dress that IGIGI.com provided me with.

About two years ago I was interviewed for Darryl Robert’s film  “America the Beautiful 2:  The Thin Commandments”  That film is now available on Netflix Streaming (yay!). The part of the film that I’m in goes back and forth with Dr. Howard Shapiro. Dr. Shapiro is one of those people who helps me remember that Democracy is about someone shouting at the top of their lungs that which I would spend a lifetime opposing at the top of mine. (20 points if you can identify the movie reference.)

You may know him as the doctor who marketed the cookie diet (which was invented by a different doctor – 6 cookies and one meal a day for about 1,000 calories), and the “Picture Perfect” diet which is a book that shows, in pictures, that you can have a hell of a lot of vegetable soup for the same calories as a giant cookie.  Thanks dude, I had no idea!

Anyway, the back and forth in the movie is comprised of alternating bits of each of our individual interviews.  I thought that I would offer direct responses to what he said in the film since he did a good job of stating a lot of the mistakes and erroneous assumptions that people, including doctors – and perhaps especially doctors whose paychecks depend on them – make about weight and health.

Before I get started, I want to clarify:  Dr. Shapiro confuses the concepts of Health at Every Size and Size Acceptance. HAES is an optional, evidence-based, health practice where the focus is on healthy behaviors rather than weight loss as a path to health. Just like everyone else, people who choose to practice HAES can prioritize their health however they choose and pick and choose the health practices in which they want to engage with the understanding that health is not an obligation, barometer of worthiness, completely within our control, or guaranteed under any circumstances, and that many of our choices can be affected by outside circumstances.  Size Acceptance is an entirely different thing.  SA is a civil rights declaration that states that the rights to life, liberty and the pursuit of happiness are not size dependent – nor are they health or healthy habit dependent. These rights are for everyone, not just the people who act like you think they should act, or look how you think they should look.

For the record, I met Dr. Shapiro at the LA premiere and we had a short debate during the Q&A in which he reiterated most of what he said in the movie and offered no evidence to support his claims. Dr. Shapiro has picture books, a bunch of diet cookies and an active practice as a weight loss specialist.  What he doesn’t appear to have is any evidence that his interventions do any better than lack of long- term success that every study on long-term dieting has shown for intentional weight loss attempts.  But that didn’t stop him from toeing the caloric restriction party line.

His first quote:

You can’t tell me that being heavy is better than being thin.  Being fat causes you to have diseases… strokes, cancer, diabetes, we know those for sure, heart disease, we know all of that.

Fascinating.  First of all – nobody is saying being heavy is better than being thin.  We are saying that bodies come in lots of different sizes for lots of different reasons, that one body size is not inherently better than another, and that health and weight are two different things (which you can tell since there are healthy and unhealthy people of every size.)  I am also saying that, as a doctor, you should probably learn the difference between correlation and causation.  While being fat is correlated with many diseases, causality is not proven. The stress of constant stigma is also correlated to all the same diseases as obesity (see Peter Muennig’s work from Columbia University.)  Further, there are no diseases that just fat people get – thin people also get strokes, cancer, diabetes, heart disease etc.  and many fat people do not get these diseases so being thin cannot be a sure preventative or a sure cure.  As I’ll discuss in a moment, a great deal of research shows that fitness is a much better indicator of hazard ratio than is weight.

You can be healthy without losing weight for part of your life, it depends.  If you’re 40, uh, ummmm,  if you’re 28 years old, if you’re 35 years old you can carry a lot of extra weight without any medical problems, but if you carry that weight until you’re 60 you’re going to have some medical problems.  Guaranteed.  Guaranteed. [yes, he said it twice.]

I know it seems from this quote like he was choosing ages by throwing darts but if you watch the film you’ll see that there’s no dartboard in sight, so this was more of a general rectal pull sort of situation. I’ll give him credit for finding a great way to hedge his bets – choosing diseases for which age is also a risk factor and then trying to blame them all on fat.  Also, I personally know a number of fat people over sixty who don’t have health issues so, like his promises of weight loss, it seems that his guarantees also can’t be believed.

You gotta tell me if you’re heavy you’ve got problems.  You’re not comfortable. you can’t be comfortable. you can get used to it you can accept it, but you’re not comfortable.  So why would you want to live like that – because you’re too lazy to make the difference to work at it.  It takes work.

This is my favorite (favorite here having the meaning of “quote that most activates my throat punch reflex”)  First he tells me how I feel, implying that he is a better witness to my experience than I am.  Then he tells me all about me and how lazy I am.  During the Q&A I told him that I didn’t appreciate this.  He said that he didn’t say it, and that it was editing.  You can watch the film and decide for yourself but if this is editing it deserves some kind of editing Emmy award.  Calling people lazy is just an outstanding way to encourage them to take care of themselves – that’s some good doctorin’ right there.

If you had a door, that door, and you could walk out (one of these fat acceptance people) and be 40 pounds thinner or this door walk out and be the same – no work involved, walk out on the other side of the door 40 pounds thinner, or you’re the same, I’ll be you a good portion of them would go out the door where you’re 40 pounds thinner.

I wouldn’t walk through the “40 pounds less door” because that would be suggesting that the best way to cure the social stigma that I deal with is to change myself, and I am vehemently against that. I have never suffered from obesity, but I have suffered from the stigma that people like Dr. Shapiro like to put on me because of my obesity, and the cure for that is for them to stop stigmatizing me – it is not for me to try to bend and twist myself until I fit into their narrow minds.

The fat acceptance people and I have a big problem. If they want to be heavy, that’s fine with me, I don’t want to make anyone thin if they don’t want to be thin it’s up to them.  But you gotta say, it’s ok to be heavy but your risk factors for many many diseases, many many many many many diseases are increased. I don’t care what they’re telling you.  If they can prove to me and show me some legitimate studies that say it’s better to be fat than thin, I’ll buy it but I see studies that say it’s better to be thin and you will live longer.

Speaking for this fat acceptance person, we don’t have a big problem.  We don’t have a problem at all.  I think he’s full of crap and therefore I’ll never go to him for healthcare.  Other people can make whatever choice they want to make.  No problem.  Based on all the research that exists, he rarely succeeds at making people thin long-term no matter how badly they want to be thin, so though I don’t require his permission, I’m relieved to hear that he doesn’t want to work with me.  Now, seven “many’s” seems like a lot, but I’m not so worried because I have actually read the research (which, it seems, makes one of us) so I’m aware that fat is a risk factor because it is correlated with a number of diseases (not because it’s causally related,) and that simple healthy habits (movement, 5 servings of vegetables, moderate drinking and not smoking) have been shown in studies to give fat people the same health hazard ratio as thin people who participate in those habits, and a dramatically better hazard ratio than thin people who don’t if that’s something that interests you. Again, nobody is saying that one body size is better than another, but we are saying that if people are interested in prioritizing health (and they are under absolutely no obligation to do so) healthy habits, not weight loss, are our best chance for our healthiest body.  Here’s some of that evidence he has suddenly found himself interested in:

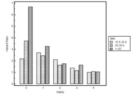
Matheson, et al:  Healthy, Lifestyle Habits and Mortality in Overweight and Obese Individuals

“Healthy lifestyle habits are associated with a significant decrease in mortality regardless of baseline body mass index.”

The vertical axis is hazard ratio, the horizontal axis is the number of healthy habits people participate in, the three bars in each group are for normal weight, overweight, and obese.

Steven Blair – Cooper Institute

“We’ve studied this from many perspectives in women and in men, and we get the same answer: It’s not the obesity, it’s the fitness.”

Glenn Gaesser – Obesity, Health, and Metabolic Fitness

“no measure of body weight or body fat was related to the degree of coronary vessel disease. The obesity-heart disease link is just not well supported by the scientific and medical literature”

Paffenbarger et. al. Physical Mortality:  All Cause Mortality, and Longevity of College Alumni

“With or without consideration of …extremes or gains in body weight…alumni mortality rates were significantly lower among the physically active.”

Wei et. al. Relationship Between Low Cardiorespiratory Fitness and Mortality in Normal-Weight, Overweight, and Obese Men

Your turn Dr. Shapiro, let’s see some evidence that your interventions work long term.  I won’t hold my breath.The thing is, it doesn’t matter how many diseases are correlated or even causally related to weight, since we have no evidence that suggests that we know how to help people lose weight long term.  People with joint pain would be much better off if they could fly (as flying takes the pressure right off the joints.)  But we don’t know how to make people fly so we don’t prescribe jumping off a roof with homemade wings.  But doctors like Dr. Shapiro continue to prescribe weight loss, even though the chances of losing weight are only 5% better than the chances that the roof jump will lead to successful flying, and the other 95% of the time people gain back all their weight and often more.

I will say the good thing about him is that I know what I’m getting.  As a fat person, so often I go to a doctor for an actual health issue and they decide to be a “weight loss specialist” instead.  At least I won’t waste an appointment on Dr. Shapiro.

For more tools for dealing with a fat-phobic world, check out the Fat Activism Conference.  Three days, 38 speakers, teleconference style so that you can listen on the phone or computer from wherever you are, only $39 with a pay-what-you-can option to make it accessible to as many people as possible.  Check it out!

Like this blog? Consider supporting my work with a donation or by  becoming a member! For ten bucks a month you can support size diversity activism, help keep the blog ad free, and get deals from size positive businesses as a thank you. I get paid for some of my speaking and writing (and do both on a sliding scale to keep it affordable), but a lot of the work I do (like answering hundreds of request for help and support every day) isn’t paid so member support makes it possible (THANK YOU to my members, I couldn’t do this without you and I really can’t tell you how much I appreciate your support!)   Click here for details

Here’s more cool stuff:

My Book:  Fat:  The Owner’s Manual  The E-Book is Name Your Own Price! Click here for details

Dance Classes:  Buy the Dance Class DVDs or download individual classes – Every Body Dance Now! Click here for details 

If you are uncomfortable with my selling things on this site, you are invited to check out this post

What’s This Thin Privilege Thing?

I rarely talk about thin privilege. A couple of days ago I dipped my toe into the thin privilege waters in my post about an article written by a woman who is traditionally thin but feels fat and it kind of reinforced why I don’t.

I was so worried about being accused of invalidating her feelings that I mentioned five separate times that thin women in general, and this woman specifically,  who suffer because they feel fat have every right to feel that way and talk about it.  I owned the fact that upon my first reading of the piece I projected, inferred and assumed in a way that wasn’t cool.  I said specifically that I understand that our culture leaves almost nobody unscathed.  I mentioned thin privilege once and all I asked was that people consider the effect of their words on fat people who are subject both to the issues of feeling fat and to institutionalized oppression.  I also suggested that it might be appropriate to have some spaces that are weight neutral and free from fat shame, negative body talk, and diet talk.

It seems that some commenters somehow took this to mean that I thought she didn’t have the right to feel how she felt or say what she said and that, by extension I was somehow saying that they didn’t have the right to feel that way or speak about it, or that their feelings weren’t important.  I even got comments telling me what I “should” have said or what the “appropriate” way for me to respond would have been (oh, Underpants Rule, why are you so difficult to follow?)

The reason I don’t typically talk about thin privilege is that the philosophy of the diversity work that I’ve been trained to facilitate discourages “calling out” privilege – not because it’s not our right to do so, but because from an outcome-based standpoint “calling out” often leads to a defensive reaction that reinforces the belief that we are trying to challenge, and makes people less likely to do want to do anti-oppression work, or you kickstart a round of the “Oppression Olympics” wherein people spend time arguing about who is oppressed more rather than fighting together against oppression.

So I was planning to just let it go but then I got a comment that said “To some people, if you don’t have the body of a Victoria’s Secret model …you might as well be 400 lbs in their eyes.” and another that said “Discussing “skinny privilege” is just as bad as any fat shaming – it’s skinny shaming.” That’s when I decided it was probably worth it to clarify and take one more stab at it, with the understanding that, while I appreciate it when thin people acknowledge their privilege, I don’t think acknowledging thin privilege is nearly as important as being willing to work for size acceptance, since dismantling the oppression of people of size will dismantle the privilege whether people acknowledge it or not.

First, discussing thin privilege is absolutely not thin shaming.  Thin shaming occurs when people say things like “She needs to eat a sandwich”, or “real women have curves.”  It’s something that I speak out against on a regular basis  and I have taken my share of criticism from some facets of the Size Acceptance community for doing so (I even got ejected from a Size Acceptance Facebook Group and told that I should just start a thin acceptance group if that’s how I felt) and have never, and will never, back down from my position.

Discussing thin privilege is being honest about the realities of modern society and culture, which include the fact that even if a thin person feels that they “might as well be 400 pounds,” and I would never argue with their description of their experience, their cultural experience will be very different than that of a person who actually is 400-pounds.  To be clear, thin privilege is not something that thin people ask for, it is conferred.  Having thin privilege does not mean that women who are thin are not hurt by a cultural stereotype of beauty that is unattainable, or that they don’t have a right to feel or express their feelings about that – they are and they do.  The concept of thin privilege is about acknowledging that fat people deal with that, and also deal with institutionalized oppression like:

  • Seats in restaurants, planes, movie theaters etc. are often not made to accommodate us and if we point that out we are often subjected to shame and/or additional costs
  • We can find a limited supply of clothes in a limited number of styles and a limited number of stores. Often  a fat person can be at a large shopping mall and be unable to find a single piece of clothing in their size, let alone find something that fits their personal taste and style
  • Courts use our body size as part of determining if we are fit parents.
  • We can find articles in the media daily suggesting that we are to blame for everything from global warming to healthcare costs.  These are typically completely without evidence, even contrary to the evidence that exist,s and yet they are reported as fact and repeated to us by family, friends, coworkers, doctors and others
  • The government has organized public and private interests to wage a war against us because of our size.  They are encouraging people to stereotype us based on how we look, assume that we are a drain on society and support our eradication, by force if necessary, to make things “cheaper”.
  • When we speak up and say that our experiences are being misrepresented, we are told that thin people are more competent witnesses to our experiences than we are, and that we have no right to speak up for ourselves.
  • People moo at us at the gym, throw things at us from cars, refuse to hire us, fire us without cause, confront us about what they assume our choices are in public places
  • It can be impossible for us to get good medical care because doctors don’t listen to or believe us.  I’ve personally been prescribed weight loss for a broken toe, separated shoulder, strep throat and anemia.  There are entire forums online dedicated to fat people’s stories of mistreatment by the people who are supposed to be entrusted with our health.
  • We are told that the cure for all of this societal stigma, oppression and bullying is to become thin.
  • Studies suggest that even if we manage to beat the odds and become thin, we will continue to be subjected to discrimination that women who have always been thin will not.
  • Find more examples at This is Thin Privilege

If you have thin privilege I am fully aware that you didn’t ask for it, and that it doesn’t protect you from a society that is poison when it comes to self-esteem and body image.  In the end I am a very outcome-based activist and so, though I definitely appreciate it when people acknowledge their thin privilege, thereby acknowledging the institutional oppression that fat people face (as I try to be aware of and acknowledge my own privilege in other realms), it’s much more important to me that we change the culture that hurts us all, than that thin people agree that they benefit from thin privilege.  Oppression of any of us hurts all of us so I’d rather fight oppression together than fight each other about thin privilege.

Like the blog?  Here’s more of my stuff:

Interviews with Amazing Activists!!  Help Activists tell our movement’s history in their own words.  Support In Our Own Words:  A Fat Activist History Project!

Become a member: For just ten bucks a month you can keep this blog ad-free, support the activism work I do, and get deals from cool businesses Click here for details

The Book:  Fat:  The Owner’s Manual  The E-Book is Name Your Own Price! Click here for details

Dance Classes:  Buy the Dance Class DVDs or download individual classes – Every Body Dance Now! Click here for details

Amazing Unscripted Humanity

Today I want to talk about an incident that shows the diversity of human behavior.  Karen Huff Klein is a 68 year old bus driver who has worked for the Greece School System for 23 years.  She was working as a bus monitor when, inexplicably, the kids began to bully her about her weight, income, and being a widow.  Trigger warning to the end of this paragraph for horribleness:   They called her a fucking fat ass, a child rapist, they threatened to hurt her, the comment she said hurt the most was “you’re so ugly your kid should kill themselves” Her son took his life 10 yr ago. I don’t even know how bad it truly got because I was unable to watch the entire video. Karen started crying but, amazingly, remained professional and got through it.

The video went up on Reddit and that’s when things got a whole lot more awesome.  There was a massive outpouring of support for Karen. she received videos from all over the world (including my favorite from these Marines.)  And over 5,700 strangers have rallied to Karen’s side, donating $110,000 so far to fund a vacation and maybe even an early retirement for her (you can donate here if you are so moved.)  In other awesome news, the diet companies seem to have managed to restrain themselves from offering “assistance.”)

I am so happy that she has received such a unanimous outpouring of support. There is absolutely no excuse for those kid’s behavior.

I thought it was really interesting when I read that members of 4chan – a community that has been instrumental in coordinating “Fat hate days” against Size Acceptance/Health at Every Size blogs including this one  – added their support.  It was clarified for me when I received this e-mail [trigger warning through the end of this paragraph] “Don’t think we hate you any less. This woman isn’t on the internet telling people how she is proud to be a fucking fat ass and telling people it’s ok to be a fucking fattass and putting up videos of her fucking fatass landwhale dancing when she should hide inside and never come out.  This woman deserves to be treated better than she was, you deserve to get cancer and die.”  It was signed “Sincerely, 4chan”

So that answers that question – at least from the perspective of one person at 4chan. Points for having better grammar and spelling than usual, even if there was a consistency problem with “fat ass”, and even though it’s unnecessary to make up an animal since there are fat animals that live on land to which you could compare me.

What I hope people notice is that these kid’s behavior is a direct and predictable result of the War on Obesity.  However well-intentioned people may be, this War tells people that they should look at fat people as the enemy.  First the government suggests that we have a war on people based on how they look and that, as a country, our goal should be to eradicate these people whether they like it or not.  “Researchers” then take the assumption that fat people are bad and run off with a basket of confirmation bias to figure out how to prove it  – what can we be blamed for?  How can they make us look expensive?  HBO creates a documentary explaining how expensive obese people are based on the researchers biased conclusions.  Public and private interests are encouraged spread the stereotype that fat people are gluttons who take more than our share. Everyone including  and especially healthcare professionals (and celebrity barely-doctors) spreads the idea (which is refuted by all the evidence that exists) that everyone can be thin and those who aren’t thin just aren’t trying because we’re too busy being gluttonous, drains on society.

This conditioning makes people think that it’s ok to attempt to eradicate a group of people based on how we look, because now they believe that we’re costing them money because we’re too lazy to look a different way. The media reports all of it like it’s fact, always accompanied by a picture of a fat person with no head so that we are further dehumanized.  People are conditioned to see us as our weight, and to see our weight as a direct threat to them.

That’s how we become the enemy.  If you look at the actual evidence you’ll find that this is not based on fact or even strong suggestion –  it’s nothing more than a very effective propaganda campaign.  Those studies that seek to calculate our cost, the comments about fat people being too expensive… that’s gateway bullying.  It’s stereotyping and bigotry that people find a way to “justify” in their heads. Once they justify that, it’s just not that far to mooing at a fat person from their car or making a hateful comment on the internet, and then you’re ganging up on someone making fun of the tears you caused.

Imagine if all the people who supported Karen also supported an end to the war on obesity?  It makes absolutely no sense to try to stereotype, shame, bully, and oppress people into better health.  Neither being treated like a second class citizen nor self loathing is the first step to greater wellness. In face plenty of research shows that it’s just the opposite.

Those who are interested in public health can focus time, money and attention on access instead of individuals – making sure that everyone has access to the foods they choose, safe movement options that they enjoy, true information, and affordable, evidence-based healthcare. Then everybody gets to make choices for themselves and nobody has to be scared to ride the bus.

Two Blog Projects!

First:  Remember the awesome “Thank You Hater” video?  Well I e-mailed Isabel Fay and Humble Pie and they are awesome enough to have given me permission to use it.  So, if you’ve been the victim of fat hate and want to be involved, you can make a video like the ones that start at 1:56. (You don’t need any of the background, just the raw video and please – short and sweet and in the same style shown on the video) and e-mail it to me at ragen at danceswithfat dot org.  It will probably be part of the first cabaret show in LA (auditions for the cabaret company are scheduled by the way) and then go up as part of a YouTube video.

Second:  If you provide a product or service  for people of size, I would like to talk to you about it so e-mail me at ragen at danceswithfat dot org and I’ll tell you what super secret cool thing I have going on (nobody panic, it’s not blog ads or anything like that!)

Pre-ordering is almost over!  Pre-order my book now to  get an autographed copy and free shipping!

Fat: The Owner’s Manual – Navigating a Thin-Obsessed World with Your Health, Happiness, and Sense of Humor Intact, with foreword by Marilyn Wann, is now available for pre-order.   This is a book about living life in the body that you have now, making decisions about what you want in the future, and how to get there.  Whether you want to change your body, fight for size acceptance, just live your life, or understand and support your fat friends and family, this book was written to provide the insights, aha moments, humor, and hard facts to help.

Become a Member, Support The Work!

I do HAES and SA activism, speaking and writing full time, and I don’t believe in putting corporate ads on my blog and making my readers a commodity. So if you find value in my work, want to support it, and you can afford it, you can  become a member (you get extra stuff, discounts, and you’re always the first to know about things) or a you can support my work with a  one-time contribution.  The regular e-mail blog subscription (available at the top right hand side of this page) is still completely free. If you’re curious about this policy, you might want to check out this post.  Thanks for reading! ~Ragen

And the Horse You Rode In On

Image by Susan at yeahandanotherthing.com

I wake up in the morning to all kinds of interesting things:  comments on the blog, e-mails from readers asking questions or for help, and articles that people think might interest me.  Make no mistake, I love getting these things, even when the articles are awful.  Today I  got a couple of articles that made me want to tell the authors, and some of the subjects of the articles  “Fuck you, and the horse you rode in on.”  Except I have nothing against the horse, so I guess it’s just fuck you.

The first article [trigger warning:  blatant fat bigotry] is about the Royal Ottawa Hospital’s family court case reviewing whether a 38-year-old man is too fat to be a dad.  It seems that the court now uses obesity as a factor when deciding if someone is a fit parent.  This is, obviously, HIGHLY problematic. First the court said:

[the father’s] strong personal beliefs on issues, including weight loss, make it difficult for him to accept the opinions of specialists on such matters,” the doctor wrote in the assessment report.

This one really concerns me – weight loss as a prescription for anything (except weight gain) does not meet the guidelines for evidence based medicine – there is not a shred of evidence to suggest that he will succeed and there is a mountain of evidence that shows that the most likely outcome of weight loss attempts is weight gain. So forcing people to make weight loss attempts or be seen as legally non-compliant and unfit is a very dangerous concept.

[father] has struggled with obesity for years, which impacts significantly on most aspects of his life including [his] functioning as a parent. He was short of breath or winded in simply walking short distances about the clinic and he lacks both the mobility and stamina required to keep up with young and active children.

Does the court make everyone take a fitness test to be a parent?  What does this mean to parents who have disabilities that cause stamina and mobility challenges?

Court filings show a doctor had recommended the sometimes deadly “obesity surgery” but the man declined and instead “had his own approach to weight loss.”  A doctor wrote, “I do not believe he followed through with even one of our dietary recommendations.”

The father refused to put his life in danger (and set his boys up to lose their father) for a risky, sometimes deadly surgery that has horrible side effects and fails a lot of the time.  He still lost a lot of weight short term, dropping from 525 pounds to 340 pounds and now weighs 380. (He is likely to be blamed for the weight regain even though it is what all the evidence says will happen.) He also stopped smoking marijuana and took anger management classes as the court requested. And it may still not be enough.  The doctor contracted to assess the man’s case wrote:

Regardless of how much weight (the father) may have lost to date, he will continue to be at risk related to his obesity for some considerable time. This will include not only his risk for major life threatening events, but also a lack of mobility and proneness to injury as was exemplified by (the father’s) hobbling around on crutches when last seen individually. (The father’s) health issues are magnified by his anti-authoritarian traits and refusal to follow recommended treatments. This also raises questions to his ability to make proper decisions in regards to his sons’ medical, educational or psychological needs.

Unbe-fricking-lievable.  He got the outcomes that the court asked for and he may lose the right to see his children because he refused medical advice for which the doctor would be completely unable to provide an evidence basis, and because he had a life event that put him on crutches? Do other parents who come to court using crutches have their suitability for parenthood questioned?

Fuck you Ottawa Family Court.

The next article [Massive Trigger warning:  Absolutely Horrible] is called “Armaglutton” (See what they did there. Get it? Get it? Hilarious amirite?) The first line reads:

OVERWEIGHT people could bring about the end of mankind by gobbling up all our food stocks, a shock study claims.

Which begs the question – if you know it’s a “shock study” why are you treating it like it’s news?  The next question that I have, as a trained researcher, is “How in fat hell did they calculate this?”  So I looked it up and it turns out that using study, research, and calculate to describe this is charitable:

For each country we used data on body mass index (BMI) and height distribution to estimate
average adult body mass. We calculated total biomass as the product of population size and
average body mass. We estimated the percentage of the population that is overweight
(BMI > 25) and obese (BMI > 30) and the biomass due to overweight and obesity.

Did you catch that the whole thing is based on an estimate and every single calculation includes an estimate.  I think they got confused – it’s the hypothesis that’s supposed to be an educated guess, not the entire research process.

But wait, it’s gets better.  They used those estimates to determine that “If all countries had the BMI distribution of the USA, the increase in human biomass …would have energy requirements equivalent to that of 473 million adults.”

Their conclusion “Increasing population fatness could have the same implications for world food energy as an extra half a billion people living on the earth.”

Note that they rounded up from 473 million to half a billion.  I guess they just wanted to get one more estimate in under the wire. Also, increasing population fatness by how much?  Do we have any reason to believe that this is likely?  Zombie Apocalypse could also end the world but I don’t expect major media outlets to report on the Zombegeddon.  Much later in the paper they explain that this is actually a worst case scenario which means that maybe IT SHOULDN’T HAVE BEEN THEIR CONCLUSION. (It also means that their conclusion rounded up from their worst case scenario – as a trained researcher I’m embarrassed for and by these people.) Not to mention the fact that it’s impossible to calculate how many calories a population will need based on an estimate of a guess of that population’s BMI, even if you knew the exact BMI you would not know the body composition (different types of tissue requires different caloric amounts to be sustained) or activity level of the population.  Don’t worry, they just went ahead and guessed at those as well.

Here is a quick study that I put together that has similar validity:  I know that there were six researchers who participated in the creation of this study.  I know that the school these researchers come from has 4,000 students. I can assume from the available data that all six researchers were either incompetent or had their heads up their asses.  I estimate that it was half and half.  Therefore I conclude that 2,000 of the students at the school are incompetent and the other 2,000 will require a colo-rectal head extraction to have any hope of becoming competent researchers.

Hundreds of news outlets reported this story as fact – with headlines like “Obesity Could Lead to the End of the Human Race”

Fuck you research team and every news outlet that is reporting this as if it’s legitimate.

Dear fat people and fat activists who aren’t fat:  It’s only a “War on Obesity” if we fight back.  If we don’t fight back, it’s just going to be massacre. What’s it going to take to get fat people to stop internalizing our oppression and start saying “If they want a War on Obesity – let’s give them one.”

Pre-ordering is almost over!  Pre-order my book now to  get an autographed copy and free shipping!

Fat: The Owner’s Manual – Navigating a Thin-Obsessed World with Your Health, Happiness, and Sense of Humor Intact, with foreword by Marilyn Wann, is now available for pre-order.   This is a book about living life in the body that you have now, making decisions about what you want in the future, and how to get there.  Whether you want to change your body, fight for size acceptance, just live your life, or understand and support your fat friends and family, this book was written to provide the insights, aha moments, humor, and hard facts to help.

Become a Member, Support The Work!

I do HAES and SA activism, speaking and writing full time, and I don’t believe in putting corporate ads on my blog and making my readers a commodity. So if you find value in my work, want to support it, and you can afford it, you can  become a member (you get extra stuff, discounts, and you’re always the first to know about things) or a you can support my work with a  one-time contribution.  The regular e-mail blog subscription (available at the top right hand side of this page) is still completely free. If you’re curious about this policy, you might want to check out this post.  Thanks for reading! ~Ragen

Fat is Not the Opposite of Fit

Since fitness is important to me I read a lot of articles about it. One of the things that comes up pretty often is the idea that fit is the opposite of fat.  For example “After losing blah blah blah pounds, Sandy went from fat to fit!”  This activates my bitch slap reflex.

If Sandy lost weight then she went from fat to thin (at least for the short term).  If Sandy increased her strength, stamina, and flexibility, then she became more fit regardless of her body size.

I think one of the biggest tragedies of the “omgdeathfatz war on obesity” rhetoric is the lie that the only way to become fit is to become thin, and that if our efforts at fitness don’t make us thin then they won’t make us healthy.  That’s not what the evidence tells us, but the idea persists – that fit and fat are opposites when in fact they are unrelated. In fact, while most fat people will never achieve long term thinness, almost all of us can become more fit. To be clear, there is no obligation for anyone to choose fitness, it’s all about what you want.

Fitness is about what you choose within the parameters of what your body can do, within the context of your body’s particular abilities and limitations.  I think of fitness as being built on the three pillars: strength, stamina and flexibility in whatever combination and at whatever level you want to and can achieve.

Nobody can tell us how fit we need to be, or how we need to be fit.  We each get to come to fitness on our own terms.  For example, I don’t enjoy running or yoga so I choose other ways to work on stamina and flexibility.  My training is also sport specific – I train to improve my dancing and so there are some things that I do that I don’t completely enjoy – if I wasn’t a dancer my fitness choices would be different.

If you are looking for inspiration and/or company, I suggest you check out the fit fatties forum.  It is full of people who choose to focus on their fitness in all different kinds of ways and at many different levels.  There are fitness newbies and oldbies, strength athletes, dancers, runners, joggers, walkers, triathletes, yogis and more.

So when you see fit discussed as the opposite of fat, I invite you to think BULLSHIT BULLSHIT BULLSHIT!!!!!

Pre-ordering is almost over!  Pre-order my book now to  get an autographed copy and free shipping!

Fat: The Owner’s Manual – Navigating a Thin-Obsessed World with Your Health, Happiness, and Sense of Humor Intact, with foreword by Marilyn Wann, is now available for pre-order.   This is a book about living life in the body that you have now, making decisions about what you want in the future, and how to get there.  Whether you want to change your body, fight for size acceptance, just live your life, or understand and support your fat friends and family, this book was written to provide the insights, aha moments, humor, and hard facts to help.

Become a Member, Support The Work!

I do HAES and SA activism, speaking and writing full time, and I don’t believe in putting corporate ads on my blog and making my readers a commodity. So if you find value in my work, want to support it, and you can afford it, you can  become a member (you get extra stuff, discounts, and you’re always the first to know about things) or a you can support my work with a  one-time contribution.  The regular e-mail blog subscription (available at the top right hand side of this page) is still completely free. If you’re curious about this policy, you might want to check out this post.  Thanks for reading! ~Ragen

Feeling Fat vs. Being Fat

I will admit that I get annoyed when a size 2 friend complains that she has to get out her (size 4) “fat jeans” because she’s bloated or whatever. It’s not that I don’t want her to feel her feelings, it’s that I know that all of my jeans are “fat jeans” and that the difference is that if an airline loses her luggage she can find “fat jeans” in her size at any women’s clothing store and I cannot.

That’s where I came from when several blog readers asked me to read Daisy’s Piece for XOJane “I‘m Fat and I’m Not OK  With It” [Trigger warning for every possible reason including fat shaming, eating disorder talk, and a metric assload of negative body talk.]  Daisy doesn’t name her size but she does include pictures and she looks to me like she would be considered thin by most people, which she admits in the first paragraph.

The subtitle is “I don’t want to accept my body and I’m not ashamed to admit it.”  To which my initial response was “um, ok.”  I want to be clear that my goal is that everyone has the option to love the body they have now – I’m not trying to compel them to.  And unless I missed it there isn’t a big cultural push telling women that they should love their bodies and not try to lose weight.  If you want to hate your body that’s entirely your right and you’ll be supported by most of the dominant culture.  But just like allowing gay people to marry doesn’t compel straight people to marry same-sex partners,  other people choosing to love their bodies does not force others to love theirs.  You are not the Beastie Boys, you don’t have to fight for your right to self-loathe.

When I first read through the piece my initial reaction was a bunch of anger.  So I took a breath, and made an attempt to separate things that I thought were really inappropriate from things where I was projecting.  Like when she says “For me, admitting I feel fat is admitting I’m weak. It’s admitting there’s something about myself I don’t like, but that I’ve allowed to happen anyway.” When I first read that, I assumed it meant that she thinks all fat people are weak but upon reading it while doing lamaze breathing I realized that she is only speaking for herself and she didn’t say anything about anyone else. I don’t agree with what she’s saying, but she is within the underpants rule.  There are a lot of statements like that in the article.  I realize that while I think I know what she thinks of fat people based on this article, that’s me guessing, inferring and assuming.  While I’m in no way guessing about her situation, I know that when I had an eating disorder I hated my own body but had no problem with other people’s,  so from my individual anecdotal experience it’s possible.

Then I read this line from the article “That being said, there are probably some of you who are OK with your weight, but maybe shouldn’t be. ”  Blow the whistle, ring the bell, we have a clear underpants rule violation.  How dare she try to tell other people that they shouldn’t be ok with their weight? Inappropriate and out of line and there’s no excuse for it.

She also says “I’m writing it because it’s how I feel and because I think it’s OK to want to improve one’s body. I’m writing it because I think xoJane underrepresents that point of view in an admittedly noble attempt to make us all feel equal and beautiful.”

Here’s where I think it goes off the rails a bit.  xoJane is one of the few places in the media that isn’t shoving weight loss=improvement, thin=beautiful down everyone’s throat.  I find I’m really annoyed that Daisy decided to make it her job to bring this perspective to one of very few spaces that come from a different point of view, especially when she could easily spend her time in one of the thousands upon thousands of places online, in print and in real life that support women spending a ton of time, energy, and money hating themselves and their bodies.

She mentions “I know; I’m privileged to have the option to feel fat while swimming in a pool in Napa. I get it.”  But I would argue that she really doesn’t get it. She gets that coming from a wealthy family gives her privilege but she doesn’t get the fact that “feeling fat” without actually meeting the social definition of fat belies the tremendous amount of thin privilege she has.  To be clear, I understand that in a world where the diet and beauty industries spend millions in advertising to convince us that we’ll never be enough and we are bombarded with images that are utterly unattainable, it’s very difficult for anyone of any size to escape unscathed.  That said, I think the veritable definition of thin privilege is writing an article about how you feel “fat” and hate your body because you think you are 12-17 pounds overweight, while you tell other people that “maybe they shouldn’t” be okay with their weight and complain about the inconvenience of having to write your article without fat shaming.

I also think that there is a degree of insensitivity to the article – It’s a bit like saying “I only have $10,000 left in my bank account, I’m so poor!”  in front of a homeless person. You may feel that way and you are allowed to say it, but I think it’s a monumentally insensitive thing to do.  I think that this article is especially insensitive since she admits that she wrote the piece in part because xoJane just doesn’t have enough articles about self-loathing. So yeah, thanks for that Daisy.

I am an unrepentant Will Smith fan from the Fresh Prince days, and there is a song of his called “Lost and Found” that comes to mind here:

Lost is when you hide behind the freedom of speech
While sure you’re free to do it
But what it mean to do it
Did you mean to do it
Did you need to do it
Did you take time to think about the seeds you ruined?

Thin women who “feel” fat are allowed to feel that way, and to talk about that, but I would ask – is it necessary?  What are you hoping to gain?  Why do you feel the need to retell the story that is saturateingly common in our culture?  Knowing that it adds to the crushing weight of oppression, stigma, and suffering that fat people live under every day, how important is it, really, for you to call them your fat jeans?

Pre-ordering is almost over!  Pre-order my book now to  get an autographed copy and free shipping!

Fat: The Owner’s Manual – Navigating a Thin-Obsessed World with Your Health, Happiness, and Sense of Humor Intact, with foreword by Marilyn Wann, is now available for pre-order.   This is a book about living life in the body that you have now, making decisions about what you want in the future, and how to get there.  Whether you want to change your body, fight for size acceptance, just live your life, or understand and support your fat friends and family, this book was written to provide the insights, aha moments, humor, and hard facts to help.

Become a Member, Support The Work!

I do HAES and SA activism, speaking and writing full time, and I don’t believe in putting corporate ads on my blog and making my readers a commodity. So if you find value in my work, want to support it, and you can afford it, you can  become a member (you get extra stuff, discounts, and you’re always the first to know about things) or a you can support my work with a  one-time contribution.  The regular e-mail blog subscription (available at the top right hand side of this page) is still completely free. If you’re curious about this policy, you might want to check out this post.  Thanks for reading! ~Ragen

All the Fat People I Know

Dear gods in heaven do I get sick of hearing this. I’m feeling a little ranty today so you’ve been warned.  Here’s why:

I spend a lot of time doing research.  On this blog I talk about research, I explain that Matheson et. al. did a study of 11,761 people and Wei et. al did a study of 25,714 people and that the Cooper Institute Research on fitness and weight is based on the Cooper Institute Longitudinal Study which is a database that has more than 250,000 records from nearly 100,000 people totaling more than 1,800,000 person-years of observation and that this research supports the idea that healthy habits lead to healthier bodies regardless of size.

Then I have to wade through 12 comments a day that say “I think you’re wrong because my aunt Gertrude was fat and she died of a heart attack.” Seriously?  I’m truly sorry that you lost your aunt but why would you think that your aunt’s experience trumps a combined sample of more than 120,000 people?

Or this one “All the people I know who have type 2 diabetes or heart disease are fat.”  Is this a frequent topic of conversation for you?  Do you know more than 120,000 people?  Also, fat people are tested early and often for these things and thin people are rarely tested.  If I test group A early and often for a disease, and I rarely ever test group B for a disease, it’s not really a big shocker that there is a higher disease incidence in group A.

“All the fat people I know eats super sized fast food meals all the time.”  Really?  Really really?  Even if this is true, why are you monitoring your friend’s food choices and why do you think that your friends are a statistically significant sample?

Also, it’s important to note that we are all subject to confirmation bias.  That means that we tend to favor evidence that supports our beliefs. We’re also subject to Status Quo bias which leads us to prefer that things remain the same, or change as little as possible, if they absolutely have to change. For some people who are enjoying their thin privilege and all the things it buys for them, their perceptions may be clouded due to loss aversion. That’s why I’m interested in the evidence when it comes to Health at Every Size.  (To be clear, Size Acceptance needs no evidence as it’s a civil rights issue – the rights to life, liberty and the pursuit of happiness are not size-dependent and should never be up for a vote.)

If you still think that you should extrapolate to the entire population based on your friends or your aunt or whatever consider that all of my fat friends have left the weight cycling lifestyle and chosen a Health at Every Size path.

Time is running out to pre-order my book and get an autographed copy and free shipping!

Fat: The Owner’s Manual – Navigating a Thin-Obsessed World with Your Health, Happiness, and Sense of Humor Intact, with foreword by Marilyn Wann, is now available for pre-order.   This is a book about living life in the body that you have now, making decisions about what you want in the future, and how to get there.  Whether you want to change your body, fight for size acceptance, just live your life, or understand and support your fat friends and family, this book was written to provide the insights, aha moments, humor, and hard facts to help.

Become a Member, Support The Work!

I do HAES and SA activism, speaking and writing full time, and I don’t believe in putting corporate ads on my blog and making my readers a commodity. So if you find value in my work, want to support it, and you can afford it, you can  become a member (you get extra stuff, discounts, and you’re always the first to know about things) or a you can support my work with a  one-time contribution.  The regular e-mail blog subscription (available at the top right hand side of this page) is still completely free. If you’re curious about this policy, you might want to check out this post.  Thanks for reading! ~Ragen

Fat People in Scooters

ShamelessI have heard from a number of fat people with mobility/health issues that things are made more difficult by the idea that using a cane or scooter or getting Type 2 diabetes or whatever is living down to a negative stereotype about fat people.

Somehow it’s become popular for everyone from stand-up comedians to adults clinging to their junior high school playground bully persona, to make fun of fat people in scooters, fat people with diabetes, etc.  I just want to ask these people:  what the hell is wrong with you?

Their cowardly excuse is typically that somehow these people “brought it on themselves” so it’s ok to make fun of them.  This is entirely wrong on a couple of levels.  First you don’t know what someone’s situation is by looking at them, and even if you did it’s still just a convenient excuse for being a bigot and I’ll tell you why.  I have a friend who was in a wheelchair for a while because she got drunk, jumped from a moving vehicle and broke both her legs.  I know a guy who was in a scooter and now uses a prosthetic leg because he got drunk and crashed his motorcycle. I know a woman who had to go to the emergency room repeatedly because she refused to stop eating shrimp though she is allergic. Even after telling people what happened, these three people have related to me that they still got nothing but sympathy and offers of help (which is what everyone should get no matter what their circumstance – not a lifetime of shame and judgment) so methinks the fat hater doth justify too much.

Unfortunately we are not the jackass whisperer and we can’t make anyone stop this behavior.  But we can make sure that we do not perpetuate any of this stigma within HAES/SA community.   I would suggest that we should be on the frontlines fighting for respect and dignity for those who use mobility aids or deal with issues that society wants to erroneously blame on their fat (or anything else.)  There is no place for blame or shame in mobility or self-care.

I understand that I am very lucky/privileged.  My body is uniquely built for fat athleticism.  I put on muscle (especially Type 2 muscle) very easily which makes it easier to move my big fat body around.  I have naturally high proprioception and kinesthetic awareness.  I’ve been an athlete all my life which makes things easier.  I have had access to amazing professionals who have supported my health and well-being from a Health at Every Size perspective. Not every body is equipped to do what my body can do. Lots of bodies can do stuff mine can’t.  And that’s exactly as it should be.

I also know that, just like everyone else, what my body can do could change.  I believe that would make my body different, but no less amazing – still blinking, heart beating etc – still an awesome body.  If something happened and my mobility changed that would absolutely be difficult, when I injured my neck and didn’t know if I’d ever get the use of my right arm back it was hard.  But I was able to make it me and my body against something scary (also part of my privilege being neurotypical) and not me against my body.  So if I ever lose my mobility, regardless of the reason, I hope to name my scooter something awesome; get to work with some glue, glitter, and streamers; put a bumper sticker on the back that says “Got Something to Say About My Size?  Dial 1-800-Bite Me”,  and roll my way into a sparkly new life on wheels.

So if you’re rocking a scooter, a cane, an oxygen tank, living with Type 2 diabetes or something else that people are trying to make you feel ashamed of because of your size or anything else, I say those people can go fuck themselves.  And if you want someone to hang out and help glue rhinestones to your scooter or put subversive bumper stickers on your oxygen tank, call me!

Like this blog? Consider supporting my work  by  becoming a member. For ten bucks a month you can support size diversity activism, help keep the blog ad free, and get deals from size positive businesses as a thank you. I get paid for some of my speaking and writing (and often do both on a sliding scale to keep it affordable), but a lot of the work I do (like answering hundreds of request for help and support every day) isn’t paid so member support makes it possible. THANK YOU to my members, I couldn’t do this without you and I really can’t tell you how much I appreciate your support!   Click here for details

Here’s more cool stuff:

My Book:  Fat:  The Owner’s Manual  The E-Book is Name Your Own Price! Click here for details

Dance Classes:  Buy the Dance Class DVDs or download individual classes – Every Body Dance Now! Click here for details 

If you are uncomfortable with my selling things on this site, you are invited to check out this post